Laatste update :
27/01/2026
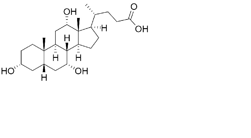
Diverse   Cholic acid  
Capsule
Stabiliteit van farmaceutische preparaten Stabiliteit in mengsels Factoren die de stabiliteit beïnvloeden Verenigbaarheden Literatuur pdf
   Molecuulstructuur  

Capsule
Stabiliteit in mengsels   Capsule   Stabiliteit in mengsels : Cholic acid     
geen gegevens

  Mentions Légales