آخر تحديث :
27/01/2026
مختلف   Cholic acid  
كبسولة
استقرار المستحضرات الصيدلانية استقرار مخاليط العوامل التي تؤثر على الاستقرار التوافق مراجع pdf
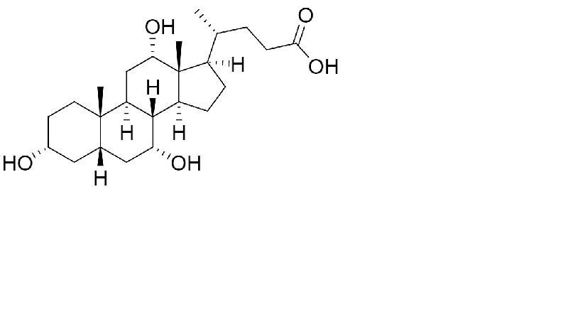
   التركيب الكيميائي  

كبسولة
استقرار مخاليط   كبسولة   استقرار مخاليط : Cholic acid     
لا توجد بيانات

  Mentions Légales