Последнее обновление :
27/01/2026
Infostab
Списки
Списки
Поиск совместимостей
Таблица совместимостей в Y-соединении систем
Библиография
Исследовательские группы
valistab
плакат
связи
спонсоры
Автор
Инструкция по эксплуатации
Информационый бюллетень
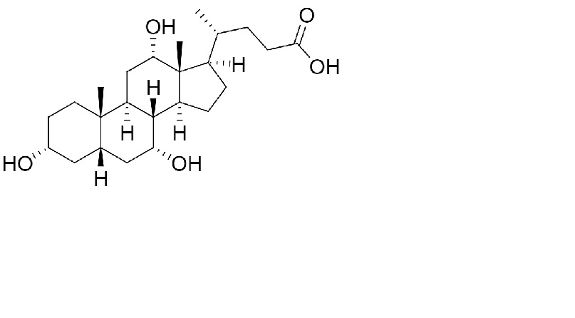
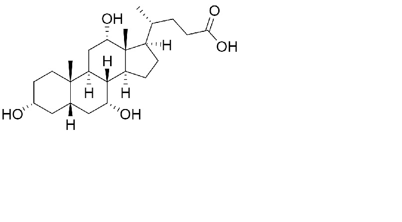
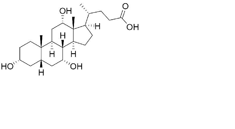
Cholic acid
Химическая структура
Стабильность смесей : Cholic acid
данных нет
Mentions Légales