最新更新 :
27/01/2026
様々なもの   Cholic acid  
カプセル
調剤時の安定性 混合時の安定性 安定性に影響する因子 互換性 引用文献 PDF
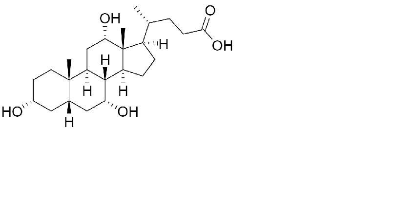
   化学構造  

カプセル
混合時の安定性   カプセル   混合時の安定性 : Cholic acid     
データなし

  Mentions Légales