Posledná aktualizácia :
27/01/2026
Infostab
Zoznam zlúčenín
Sumárne zoznamy
Vyhľadávanie kompatibilít
Tabuľka kompatibilít pre inf. spojku Y
Odkazy na literatúru
výskumné tímy
valistab
Poster
Pripojenie
sponzori
Autori
Príručka používateľa
Newsletter
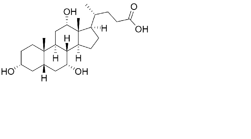
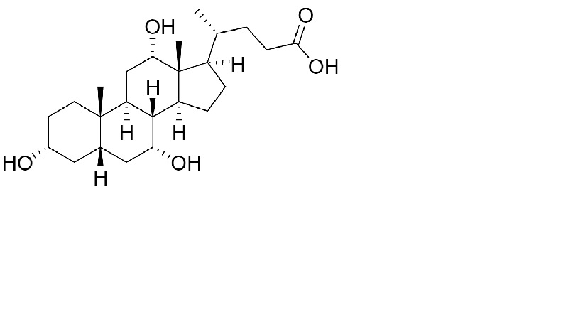
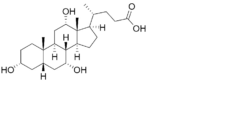
Cholic acid
Chemický vzorec
Stabilita v zmesiach : Cholic acid
žiadne údaje
Mentions Légales