Pēdējā atjaunošana :
27/01/2026
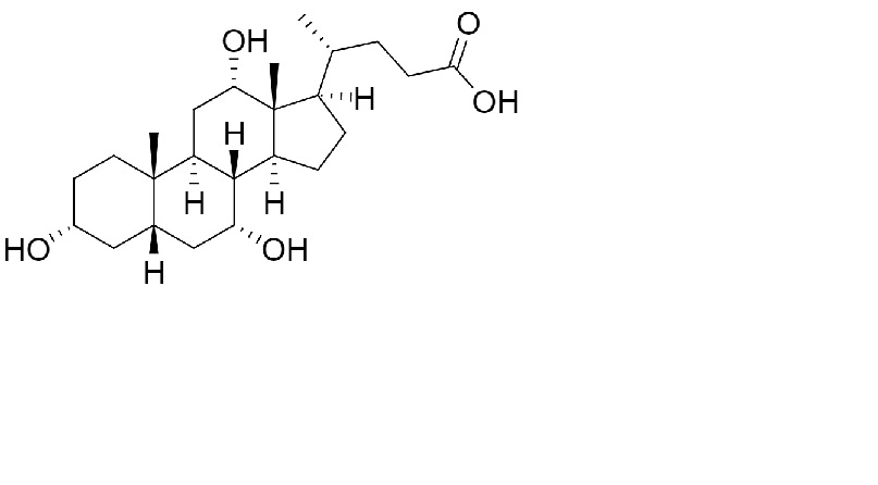
Dažādi   Cholic acid  
Kapsula
Stabilitāte farmaceitisko preparātu Maisījuma stabilitāte Stabilitāti ietekmējoši faktori Saderība Literatūras saraksts pdf
   Ķīmiskā uzbūve   

Kapsula
Maisījuma stabilitāte   Kapsula   Maisījuma stabilitāte : Cholic acid     
Nav datu

  Mentions Légales