Utolsó frissítés :
27/01/2026
Különféle   Cholic acid  
kapszula
Stabilitása gyógyszerészeti készítmények A keverékek stabilitása Stabilitást befolyásoló tényezők Kompatibilitás Irodalom pdf
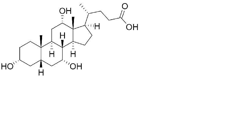
   Kémiai szerkezet   

kapszula
A keverékek stabilitása   kapszula   A keverékek stabilitása : Cholic acid     
Hiányzó adat

  Mentions Légales