viimane versioon :
27/01/2026
mitmesugune   Cholic acid  
kapsel
Stabiilsust ravimpreparaadid Stabiilsust mõjutavad tegurid stabiilsust mõjutavad faktorid Sobimatus Viited pdf
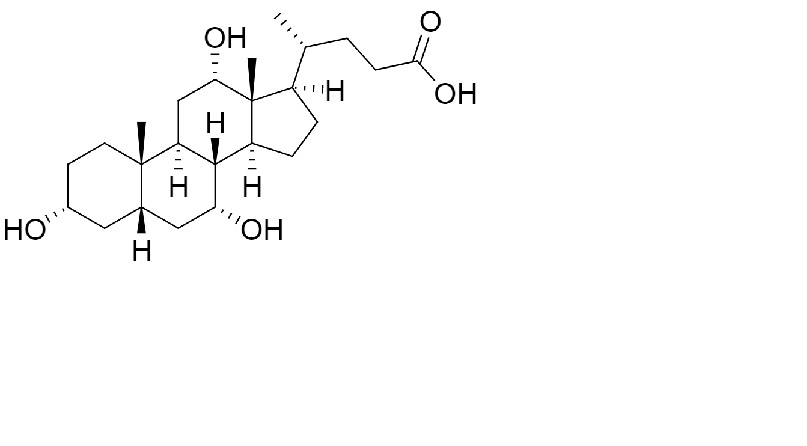
   keemiline struktuur  

kapsel
Stabiilsust mõjutavad tegurid   kapsel   Stabiilsust mõjutavad tegurid : Cholic acid     
andmed puuduvad

  Mentions Légales