Last update :
27/01/2026
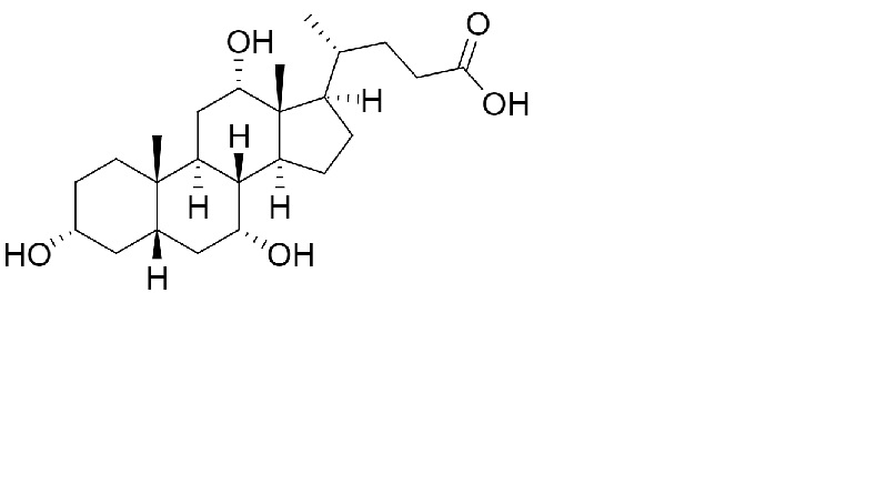
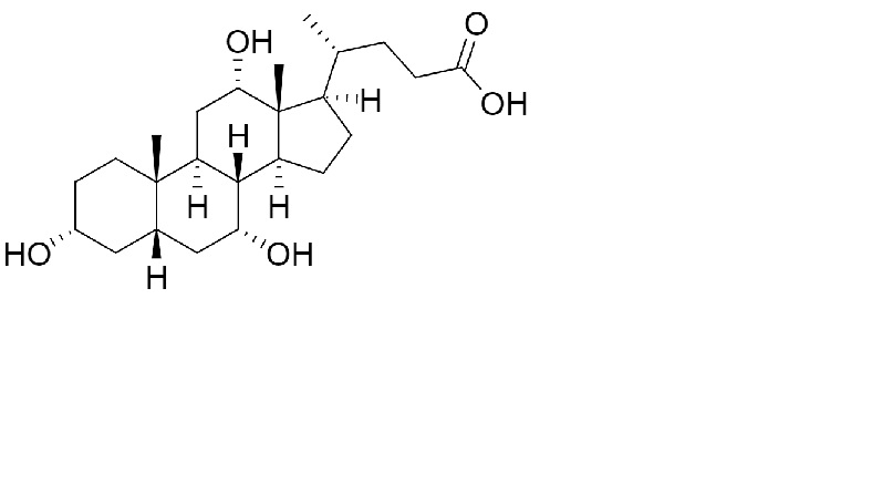
Various   Cholic acid  
Capsule
Stability of pharmaceutical preparations Stability of mixtures Factors which affect stability Compatibility References pdf
   Chemical structure  

Capsule
Stability of mixtures   Capsule   Stability of mixtures : Cholic acid     
No data

  Mentions Légales