Останнє оновлення :
27/04/2026
Курариміметик   Atracurium besylate  
ін'єкція
Стійкість в розчинах Стійкість сумішей Фактори, що впливають на стабільність Сумісність Шлях введення Список літератури pdf
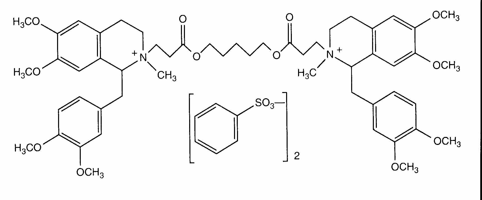
   Хімічна структура  

Торгова назва   Торгова назва     

Торгові назви є орієнтовними, а склад допоміжних речовин може бути різним залежно від країни та виробника

Abbocurium Польща
Acurmil Італія
Ancour Іран
Anecur Іран
Atacur Саудівська Аравія
Atrabesylate Єгипет
Atracurio Іспанія, Аргентина, Бразилія
Atracurio besilato Італія, Венесуела, Перу, Чилі
Atracurium Єгипет, Іран, Італія, Австрія, Аргентина, Великобританія, Малайзія, Німеччина, Об'єднані Арабські Емірати, Саудівська Аравія, Швеція
Atracurium besilat Австрія
Atracurium besilate Єгипет, Іран, Австралія, Канада, Нова Зеландія, Об'єднані Арабські Емірати, Саудівська Аравія, Сполучені Штати Америки
Atralex Малайзія
Atrasyl Туреччина
Besilato Atracurio Іспанія, Португалія, Чилі
Faulcurium Єгипет, Португалія
Gelolagar Аргентина
Laurak Іспанія
Neucurium Туреччина
Notrixum Туреччина
Relactrac Колумбія
Relatrac Мексика
Tracrium Єгипет, Іран, Ірландія, Іспанія, Італія, Австрія, Бельгія, Великобританія, Греція, Еквадор, Колумбія, Люксембург, Малайзія, Марокко, Мексика, Нідерланди, Німеччина, Нова Зеландія, Об'єднані Арабські Емірати, Польща, Португалія, Румунія, Саудівська Аравія, Словенія, Сполучені Штати Америки, Туреччина, Угорщина, Франція, Чилі, Швейцарія
Tracumek Перу
Tracurix Аргентина
Tracuron Аргентина
Сумісність   ін'єкція   Сумісність : Atracurium besylate              
explication_incompatibilite_molecules
З'єднання Розчинник Список літератури
Неуточнена несумісність Несумісні
ін'єкція Atracurium besylate
ін'єкція Amobarbital sodium
3676
Несумісні
ін'єкція Atracurium besylate 0.5 mg/ml
Розчин лактату Рінгера 1093
сумісний
ін'єкція Atracurium besylate 0.5 mg/ml
ін'єкція Aminophylline 1 mg/ml
Глюкоза 5% 402
сумісний
ін'єкція Atracurium besylate 5 mg/ml
ін'єкція Amiodarone hydrochloride 6 mg/ml
Глюкоза 5% 1611
сумісний
ін'єкція Atracurium besylate 0.5 mg/ml
ін'єкція Cefazolin sodium 10 mg/ml
Глюкоза 5% 402
сумісний
ін'єкція Atracurium besylate
Глюкоза 5% 3629
сумісний
ін'єкція Atracurium besylate 0.5 mg/ml
ін'єкція Cefuroxime sodium 7.5 mg/ml
Глюкоза 5% 402
сумісний
ін'єкція Atracurium besylate 0.5 mg/ml
ін'єкція Co-trimoxazole 3.2/0.64 mg/ml
Глюкоза 5% 402
Миттєві опади Несумісні
ін'єкція Atracurium besylate 0.5 mg/ml
ін'єкція Diazepam 5 mg/ml
Глюкоза 5% 402
Миттєві опади Несумісні
ін'єкція Atracurium besylate
ін'єкція Diclofenac
1647
сумісний
ін'єкція Atracurium besylate 0.5 mg/ml
ін'єкція Dopamine hydrochloride 1.6 mg/ml
Глюкоза 5% 402
Неуточнена несумісність Несумісні
ін'єкція Atracurium besylate
NaHCO3 3676
сумісний
ін'єкція Atracurium besylate 0.5 mg/ml
ін'єкція Cimetidine hydrochloride 6 mg/ml
Глюкоза 5% 402
сумісний
ін'єкція Atracurium besylate
ін'єкція Dexmedetomidine
5042
сумісний
ін'єкція Atracurium besylate 0.5 mg/ml
ін'єкція Dobutamine hydrochloride 1 mg/ml
Глюкоза 5% 402
Неуточнена несумісність Несумісні
ін'єкція Atracurium besylate
NaHCO3 3629
сумісний
ін'єкція Atracurium besylate 2 mg/ml
ін'єкція Ciprofloxacin lactate 2 mg/ml
Глюкоза 5% 285
сумісний
ін'єкція Atracurium besylate 0.5 mg/ml
ін'єкція Epinephrine hydrochloride 4 µg/ml
Глюкоза 5% 402
сумісний
ін'єкція Atracurium besylate 0.5 mg/ml
ін'єкція Esmolol hydrochloride 10 mg/ml
Глюкоза 5% 402
сумісний
ін'єкція Atracurium besylate 10 mg/ml
Парентеральне харчування (бінарна суміш) 939
сумісний
ін'єкція Atracurium besylate 10 mg/ml
ін'єкція Etomidate 2 mg/ml
Жодного 319
сумісний
ін'єкція Atracurium besylate 0.5 mg/ml
ін'єкція Fenoldopam mesylate 80 µg/ml
Натрію хлорид 0,9% 1803
сумісний
ін'єкція Atracurium besylate 0.5 mg/ml
ін'єкція Fentanyl citrate 10 µg/ml
Глюкоза 5% 402
сумісний
ін'єкція Atracurium besylate 0.5 mg/ml
ін'єкція Gentamicin sulfate 2 mg/ml
Глюкоза 5% 402
сумісний
ін'єкція Atracurium besylate 0.5 mg/ml
ін'єкція Heparin sodium 40 UI/ml
Глюкоза 5% 402
сумісний
ін'єкція Atracurium besylate 0.5 mg/ml
ін'єкція Hetastarch 60 mg/ml
специфічний розчинник 1721
сумісний
ін'єкція Atracurium besylate 0.5 mg/ml
ін'єкція Hydrocortisone sodium succinate 1 mg/ml
Глюкоза 5% 402
сумісний
ін'єкція Atracurium besylate 0.5 mg/ml
ін'єкція Isoprenaline hydrochloride 0.004 mg/ml
Глюкоза 5% 402
сумісний
ін'єкція Atracurium besylate 0.5 mg/ml
ін'єкція Lorazepam 0.5 mg/ml
Глюкоза 5% 402
Неуточнена несумісність Несумісні
ін'єкція Atracurium besylate
ін'єкція Methohexital sodium
3676
сумісний
ін'єкція Atracurium besylate 1 & 5 mg/ml
ін'єкція Midazolam hydrochloride 0.1 & 0.5 mg/ml
Глюкоза 5% 865
сумісний
ін'єкція Atracurium besylate 0.5 mg/ml
ін'єкція Midazolam hydrochloride 0.05 mg/ml
Глюкоза 5% 402
сумісний
ін'єкція Atracurium besylate 2 mg/ml
ін'єкція Milrinone lactate 0.8 mg/ml
Глюкоза 5% 813
сумісний
ін'єкція Atracurium besylate 0.5 mg/ml
ін'єкція Morphine sulfate 1 mg/ml
Глюкоза 5% 402
сумісний
ін'єкція Atracurium besylate 0.5 mg/ml
ін'єкція Nitroglycerin 0.4 mg/ml
Глюкоза 5% 402
сумісний
ін'єкція Atracurium besylate 0.5 mg/ml
ін'єкція Nitroprusside sodium 0.2 mg/ml
Глюкоза 5% 402
Неуточнена несумісність Несумісні
ін'єкція Atracurium besylate
ін'єкція Pentobarbital sodium
3676
Неуточнена несумісність Несумісні
ін'єкція Atracurium besylate
ін'єкція Phenobarbital sodium
3676
Негайна нестійкість емульсії Несумісні
ін'єкція Atracurium besylate 10 mg/ml
ін'єкція Propofol 10 mg/ml
Жодного 300
Нестійкість емульсії через 1 год Несумісні
ін'єкція Atracurium besylate 10 mg/ml
ін'єкція Propofol
660
Неуточнена несумісність Несумісні
ін'єкція Atracurium besylate
ін'єкція Propofol
3659
сумісний
ін'єкція Atracurium besylate 10 mg/ml
ін'єкція Propofol 2 mg/ml
Жодного 319
Неуточнена несумісність Несумісні
ін'єкція Atracurium besylate
ін'єкція Propofol
3502
сумісний
ін'єкція Atracurium besylate 0.5 mg/ml
ін'єкція Ranitidine hydrochloride 0.5 mg/ml
Глюкоза 5% 402
Неуточнена несумісність Несумісні
ін'єкція Atracurium besylate
ін'єкція Sodium bicarbonate
3629
Неуточнена несумісність Несумісні
ін'єкція Atracurium besylate
ін'єкція Sodium bicarbonate
3676
Миттєві опади Несумісні
ін'єкція Atracurium besylate
ін'єкція Thiopental sodium
3373
Неуточнена несумісність Несумісні
ін'єкція Atracurium besylate
ін'єкція Thiopental sodium
3629
Неуточнена несумісність Несумісні
ін'єкція Atracurium besylate
ін'єкція Thiopental sodium
3676
сумісний
ін'єкція Atracurium besylate 0.2 mg/ml
ін'єкція Valproic acid 2 & 20 mg/ml
Натрію хлорид 0,9% 4428
сумісний
ін'єкція Atracurium besylate
Натрію хлорид 0,9% 3629
Негайне помутніння Несумісні
ін'єкція Atracurium besylate 10 mg/ml
ін'єкція Thiopental sodium 25 mg/ml
Вода для ін'єкцій 319
сумісний
ін'єкція Atracurium besylate 0.2 mg/ml
ін'єкція Valproic acid 2 & 20 mg/ml
Глюкоза 5% 4428
сумісний
ін'єкція Atracurium besylate 0.5 mg/ml
ін'єкція Vancomycin hydrochloride 5 mg/ml
Глюкоза 5% 402

  Mentions Légales