Viimeisin päivitys :
27/04/2026
Lihasrelaksantit   Atracurium besylate  
Injektioneste
Stabilius liuoksessa Stabilius seoksissa Tekijät, jotka vaikuttavat stabiliuteen Yhteensopivuus Antotapa Viitteet pdf
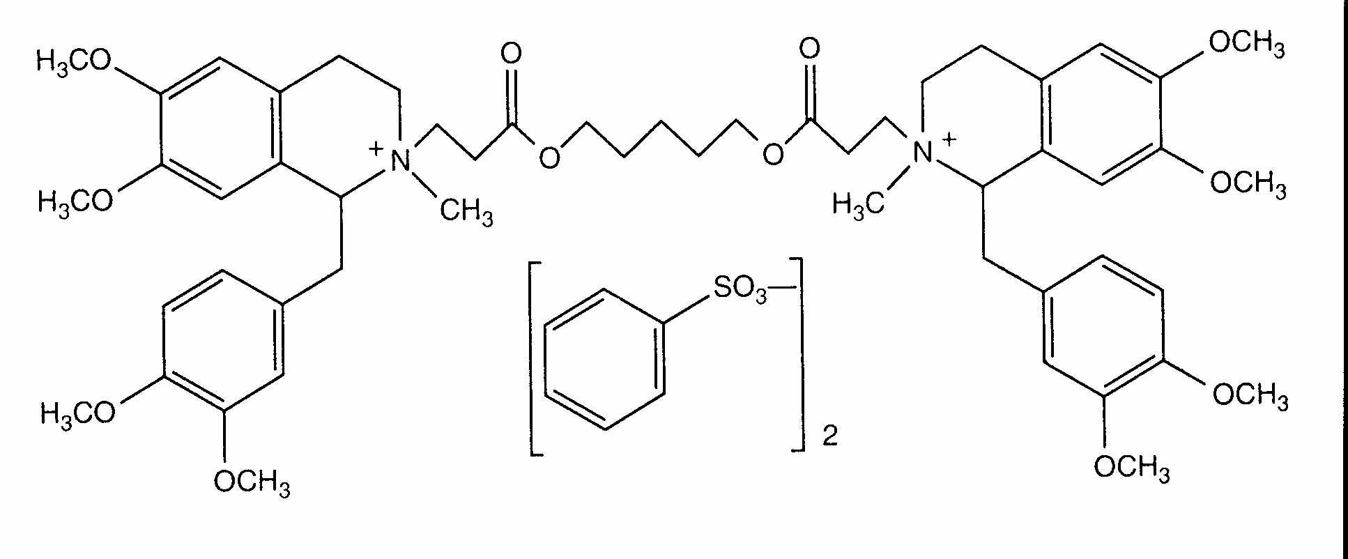
   Kemiallinen rakenne  

Kauppanimi   Kauppanimi     

Trade names are indicative and excipients composition can be different depending on the country and manufacturers

Abbocurium Puola
Acurmil Italia
Ancour Iran
Anecur Iran
Atacur Saudi-Arabia
Atrabesylate Egypti
Atracurio Argentiina, Brasilia, Espanja
Atracurio besilato Chile, Italia, Marokko, Venezuela
Atracurium Argentiina, Egypti, Iran, Iso-Britannia, Italia, Itävalta, Malesia, Ruotsi, Saksa, Saudi-Arabia, Yhdistyneet arabiemiirikunnat
Atracurium besilat Itävalta
Atracurium besilate Australia, Egypti, Iran, Kanada, New Zealand, Saudi-Arabia, Yhdistyneet arabiemiirikunnat, Yhdysvallat
Atralex Malesia
Atrasyl Turkki
Besilato Atracurio Chile, Espanja, Portugali
Faulcurium Egypti, Portugali
Gelolagar Argentiina
Laurak Espanja
Neucurium Turkki
Notrixum Turkki
Relactrac Kolumbia
Relatrac Meksiko
Tracrium Belgia, Chile, Ecuador, Egypti, Espanja, Hollanti, Iran, Irlanti, Iso-Britannia, Italia, Itävalta, Kolumbia, Kreikka, Luxemburg, Malesia, Marokko, Meksiko, New Zealand, Portugali, Puola, Ranska, Romania, Saksa, Saudi-Arabia, Slovenia, Sveitsi, Turkki, Unkari, Yhdistyneet arabiemiirikunnat, Yhdysvallat
Tracumek Marokko
Tracurix Argentiina
Tracuron Argentiina
Yhteensopivuus   Injektioneste   Yhteensopivuus : Atracurium besylate              
Tämä näyttö osoittaa yhteensopivuuden tai yhteensopimattomuuden yhteensopimattomuuden tyypin kanssa (saostuminen, värinmuutos, emulsiomuutos jne.). Tässä esitetty yhteensopivuus on useimmissa tapauksissa vain fysikaalinen, ja kunkin molekyylin kemiallista stabiilisuutta arvioidaan harvoin. Näiden seosten arviointia tutkittiin mahdollisuuden antaa Y-kohta potilaalle. Näitä tietoja ei voida käyttää seosten valmistamiseen etukäteen pusseissa tai ruiskuissa. Tämäntyyppiset tiedot ovat saatavilla "Stabiilisuus seoksessa" -näytössä.
Yhdiste Liuotin Viitteet
Määrittelemätön yhteensopimattomuus yhteensopimaton
Injektioneste Atracurium besylate
Injektioneste Amobarbital sodium
3676
yhteensopimaton
Injektioneste Atracurium besylate 0.5 mg/ml
Ringerlaktaattiliuos 1093
Yhteensopiva
Injektioneste Atracurium besylate 0.5 mg/ml
Injektioneste Aminophylline 1 mg/ml
Glukoosi 5% 402
Yhteensopiva
Injektioneste Atracurium besylate 5 mg/ml
Injektioneste Amiodarone hydrochloride 6 mg/ml
Glukoosi 5% 1611
Yhteensopiva
Injektioneste Atracurium besylate 0.5 mg/ml
Injektioneste Cefazolin sodium 10 mg/ml
Glukoosi 5% 402
Yhteensopiva
Injektioneste Atracurium besylate
Glukoosi 5% 3629
Yhteensopiva
Injektioneste Atracurium besylate 0.5 mg/ml
Injektioneste Cefuroxime sodium 7.5 mg/ml
Glukoosi 5% 402
Yhteensopiva
Injektioneste Atracurium besylate 0.5 mg/ml
Injektioneste Co-trimoxazole 3.2/0.64 mg/ml
Glukoosi 5% 402
Välittömät sateet yhteensopimaton
Injektioneste Atracurium besylate 0.5 mg/ml
Injektioneste Diazepam 5 mg/ml
Glukoosi 5% 402
Välittömät sateet yhteensopimaton
Injektioneste Atracurium besylate
Injektioneste Diclofenac
1647
Yhteensopiva
Injektioneste Atracurium besylate 0.5 mg/ml
Injektioneste Dopamine hydrochloride 1.6 mg/ml
Glukoosi 5% 402
Määrittelemätön yhteensopimattomuus yhteensopimaton
Injektioneste Atracurium besylate
NaHCO3 3676
Yhteensopiva
Injektioneste Atracurium besylate 0.5 mg/ml
Injektioneste Cimetidine hydrochloride 6 mg/ml
Glukoosi 5% 402
Yhteensopiva
Injektioneste Atracurium besylate
Injektioneste Dexmedetomidine
5042
Yhteensopiva
Injektioneste Atracurium besylate 0.5 mg/ml
Injektioneste Dobutamine hydrochloride 1 mg/ml
Glukoosi 5% 402
Määrittelemätön yhteensopimattomuus yhteensopimaton
Injektioneste Atracurium besylate
NaHCO3 3629
Yhteensopiva
Injektioneste Atracurium besylate 2 mg/ml
Injektioneste Ciprofloxacin lactate 2 mg/ml
Glukoosi 5% 285
Yhteensopiva
Injektioneste Atracurium besylate 0.5 mg/ml
Injektioneste Epinephrine hydrochloride 4 µg/ml
Glukoosi 5% 402
Yhteensopiva
Injektioneste Atracurium besylate 0.5 mg/ml
Injektioneste Esmolol hydrochloride 10 mg/ml
Glukoosi 5% 402
Yhteensopiva
Injektioneste Atracurium besylate 10 mg/ml
Parenteraalisesti (rasva-free) 939
Yhteensopiva
Injektioneste Atracurium besylate 10 mg/ml
Injektioneste Etomidate 2 mg/ml
Ei mikään 319
Yhteensopiva
Injektioneste Atracurium besylate 0.5 mg/ml
Injektioneste Fenoldopam mesylate 80 µg/ml
Natriumkloridi 0,9% 1803
Yhteensopiva
Injektioneste Atracurium besylate 0.5 mg/ml
Injektioneste Fentanyl citrate 10 µg/ml
Glukoosi 5% 402
Yhteensopiva
Injektioneste Atracurium besylate 0.5 mg/ml
Injektioneste Gentamicin sulfate 2 mg/ml
Glukoosi 5% 402
Yhteensopiva
Injektioneste Atracurium besylate 0.5 mg/ml
Injektioneste Heparin sodium 40 UI/ml
Glukoosi 5% 402
Yhteensopiva
Injektioneste Atracurium besylate 0.5 mg/ml
Injektioneste Hetastarch 60 mg/ml
spesifiseen liuottimeen 1721
Yhteensopiva
Injektioneste Atracurium besylate 0.5 mg/ml
Injektioneste Hydrocortisone sodium succinate 1 mg/ml
Glukoosi 5% 402
Yhteensopiva
Injektioneste Atracurium besylate 0.5 mg/ml
Injektioneste Isoprenaline hydrochloride 0.004 mg/ml
Glukoosi 5% 402
Yhteensopiva
Injektioneste Atracurium besylate 0.5 mg/ml
Injektioneste Lorazepam 0.5 mg/ml
Glukoosi 5% 402
Määrittelemätön yhteensopimattomuus yhteensopimaton
Injektioneste Atracurium besylate
Injektioneste Methohexital sodium
3676
Yhteensopiva
Injektioneste Atracurium besylate 1 & 5 mg/ml
Injektioneste Midazolam hydrochloride 0.1 & 0.5 mg/ml
Glukoosi 5% 865
Yhteensopiva
Injektioneste Atracurium besylate 0.5 mg/ml
Injektioneste Midazolam hydrochloride 0.05 mg/ml
Glukoosi 5% 402
Yhteensopiva
Injektioneste Atracurium besylate 2 mg/ml
Injektioneste Milrinone lactate 0.8 mg/ml
Glukoosi 5% 813
Yhteensopiva
Injektioneste Atracurium besylate 0.5 mg/ml
Injektioneste Morphine sulfate 1 mg/ml
Glukoosi 5% 402
Yhteensopiva
Injektioneste Atracurium besylate 0.5 mg/ml
Injektioneste Nitroglycerin 0.4 mg/ml
Glukoosi 5% 402
Yhteensopiva
Injektioneste Atracurium besylate 0.5 mg/ml
Injektioneste Nitroprusside sodium 0.2 mg/ml
Glukoosi 5% 402
Määrittelemätön yhteensopimattomuus yhteensopimaton
Injektioneste Atracurium besylate
Injektioneste Pentobarbital sodium
3676
Määrittelemätön yhteensopimattomuus yhteensopimaton
Injektioneste Atracurium besylate
Injektioneste Phenobarbital sodium
3676
Emulsion välitön epävakaus yhteensopimaton
Injektioneste Atracurium besylate 10 mg/ml
Injektioneste Propofol 10 mg/ml
Ei mikään 300
Emulsion epästabiilisuus tunnin kuluttua yhteensopimaton
Injektioneste Atracurium besylate 10 mg/ml
Injektioneste Propofol
660
Määrittelemätön yhteensopimattomuus yhteensopimaton
Injektioneste Atracurium besylate
Injektioneste Propofol
3659
Yhteensopiva
Injektioneste Atracurium besylate 10 mg/ml
Injektioneste Propofol 2 mg/ml
Ei mikään 319
Määrittelemätön yhteensopimattomuus yhteensopimaton
Injektioneste Atracurium besylate
Injektioneste Propofol
3502
Yhteensopiva
Injektioneste Atracurium besylate 0.5 mg/ml
Injektioneste Ranitidine hydrochloride 0.5 mg/ml
Glukoosi 5% 402
Määrittelemätön yhteensopimattomuus yhteensopimaton
Injektioneste Atracurium besylate
Injektioneste Sodium bicarbonate
3629
Määrittelemätön yhteensopimattomuus yhteensopimaton
Injektioneste Atracurium besylate
Injektioneste Sodium bicarbonate
3676
Välittömät sateet yhteensopimaton
Injektioneste Atracurium besylate
Injektioneste Thiopental sodium
3373
Määrittelemätön yhteensopimattomuus yhteensopimaton
Injektioneste Atracurium besylate
Injektioneste Thiopental sodium
3629
Määrittelemätön yhteensopimattomuus yhteensopimaton
Injektioneste Atracurium besylate
Injektioneste Thiopental sodium
3676
Yhteensopiva
Injektioneste Atracurium besylate 0.2 mg/ml
Injektioneste Valproic acid 2 & 20 mg/ml
Natriumkloridi 0,9% 4428
Yhteensopiva
Injektioneste Atracurium besylate
Natriumkloridi 0,9% 3629
Välitön sameus yhteensopimaton
Injektioneste Atracurium besylate 10 mg/ml
Injektioneste Thiopental sodium 25 mg/ml
Injektionesteisiin käytettävä vesi 319
Yhteensopiva
Injektioneste Atracurium besylate 0.2 mg/ml
Injektioneste Valproic acid 2 & 20 mg/ml
Glukoosi 5% 4428
Yhteensopiva
Injektioneste Atracurium besylate 0.5 mg/ml
Injektioneste Vancomycin hydrochloride 5 mg/ml
Glukoosi 5% 402

  Mentions Légales