Posledná aktualizácia :
27/11/2025
kurarimimetikum/periférne myorelaxans   Atracurium besylate  
Injekcia
Stabilita roztokov Stabilita v zmesiach Faktory ovplyvňujúce stabilitu Kompatibility spôsob podania Odkazy na literatúru PDF
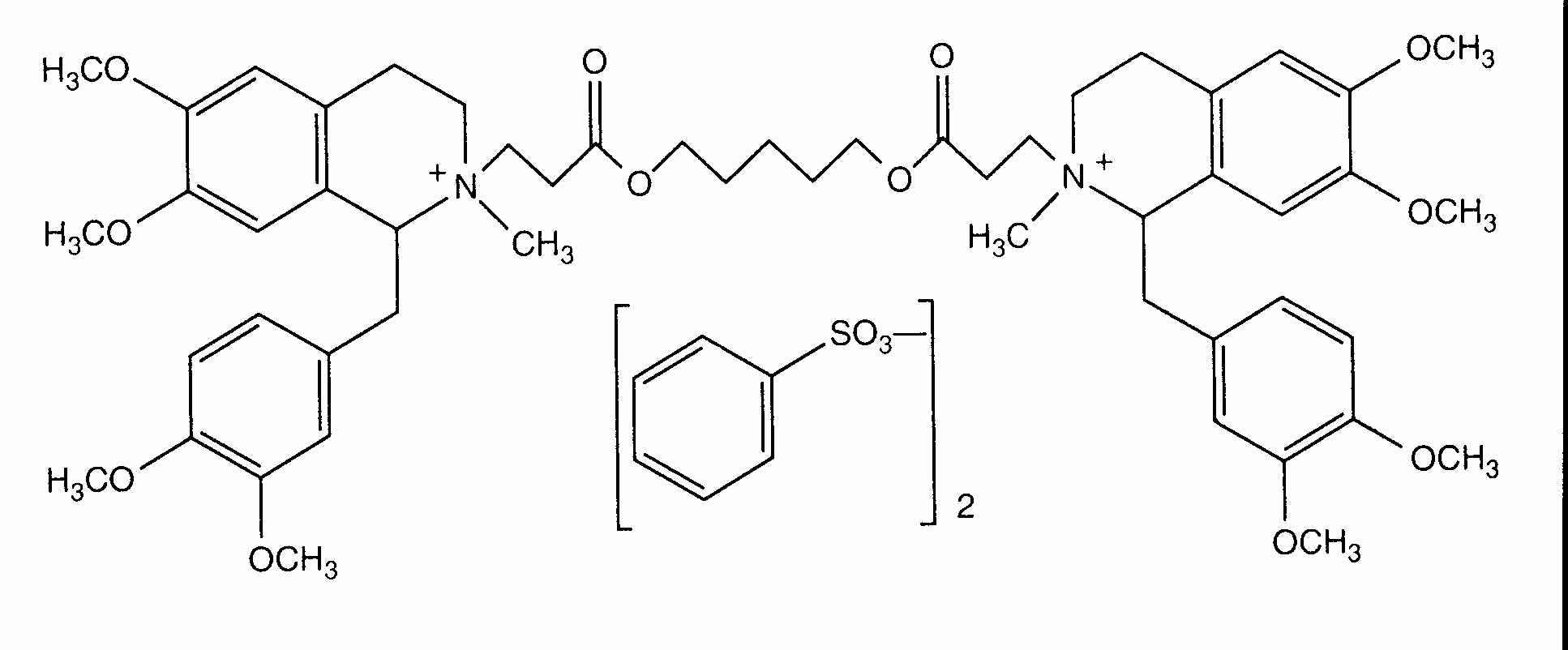
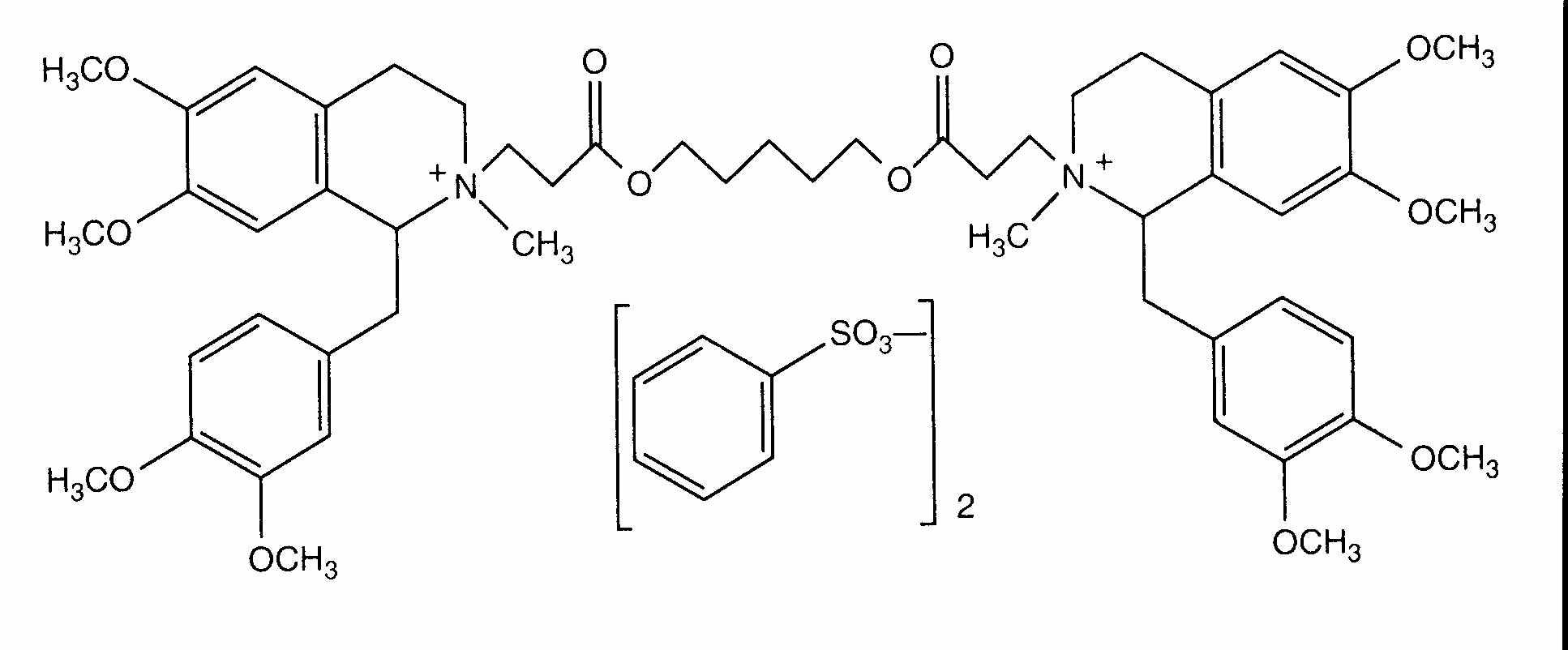
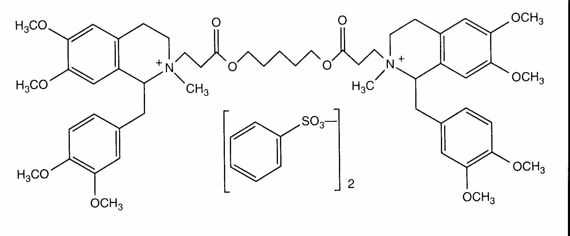
   Chemický vzorec  

Obchodný názov   Obchodný názov     

Obchodné názvy sú orientačné, a zloženie pomocných látok sa môže líšiť v závislosti od krajiny a výrobcu.

Abbocurium Poľsko
Acurmil Taliansko
Ancour Irán
Anecur Irán
Atacur Saudská Arábia
Atrabesylate Egypt
Atracurio Argentína, Brazília, Španielsko
Atracurio besilato Čile, peru, Taliansko, Venezuela
Atracurium Argentína, Egypt, Irán, Malajzia, Nemecko, Rakúsko, Saudská Arábia, Spojené arabské emiráty, Švédsko, Taliansko, Veľká Británia
Atracurium besilat Rakúsko
Atracurium besilate Austrália, Egypt, Irán, Kanada, nový Zéland, Saudská Arábia, Spojené arabské emiráty, Spojené štáty Americké
Atralex Malajzia
Atrasyl Turecko
Besilato Atracurio Čile, Portugalsko, Španielsko
Faulcurium Egypt, Portugalsko
Gelolagar Argentína
Laurak Španielsko
Neucurium Turecko
Notrixum Turecko
Relactrac Kolumbia
Relatrac Mexiko
Tracrium Belgicko, Čile, Egypt, Ekvádor, Francúzsko, Grécko, Holandsko, Irán, Írsko, Kolumbia, Luxembursko, Maďarsko, Malajzia, Maroko, Mexiko, Nemecko, nový Zéland, Poľsko, Portugalsko, Rakúsko, Rumunsko, Saudská Arábia, Slovinsko, Španielsko, Spojené arabské emiráty, Spojené štáty Americké, Švajčiarsko, Taliansko, Turecko, Veľká Británia
Tracumek peru
Tracurix Argentína
Tracuron Argentína

Faktory ovplyvňujúce stabilitu   Injekcia   Faktory ovplyvňujúce stabilitu : Atracurium besylate        
odkazy na lieteratúru
teplota vzostup/nárast indukuje degradácia 657
pH pH >7 indukuje degradácia 3629

  Mentions Légales