Zadnji put ažurirano :
27/04/2026
narkotizirajuće djelovanje pomoću kurarina   Atracurium besylate  
injekcija
Stabilizacija rješenja Stabilnost mješavine Stabilizacijski faktor Kompatibilnosti način davanja lijeka Bibliografija pdf
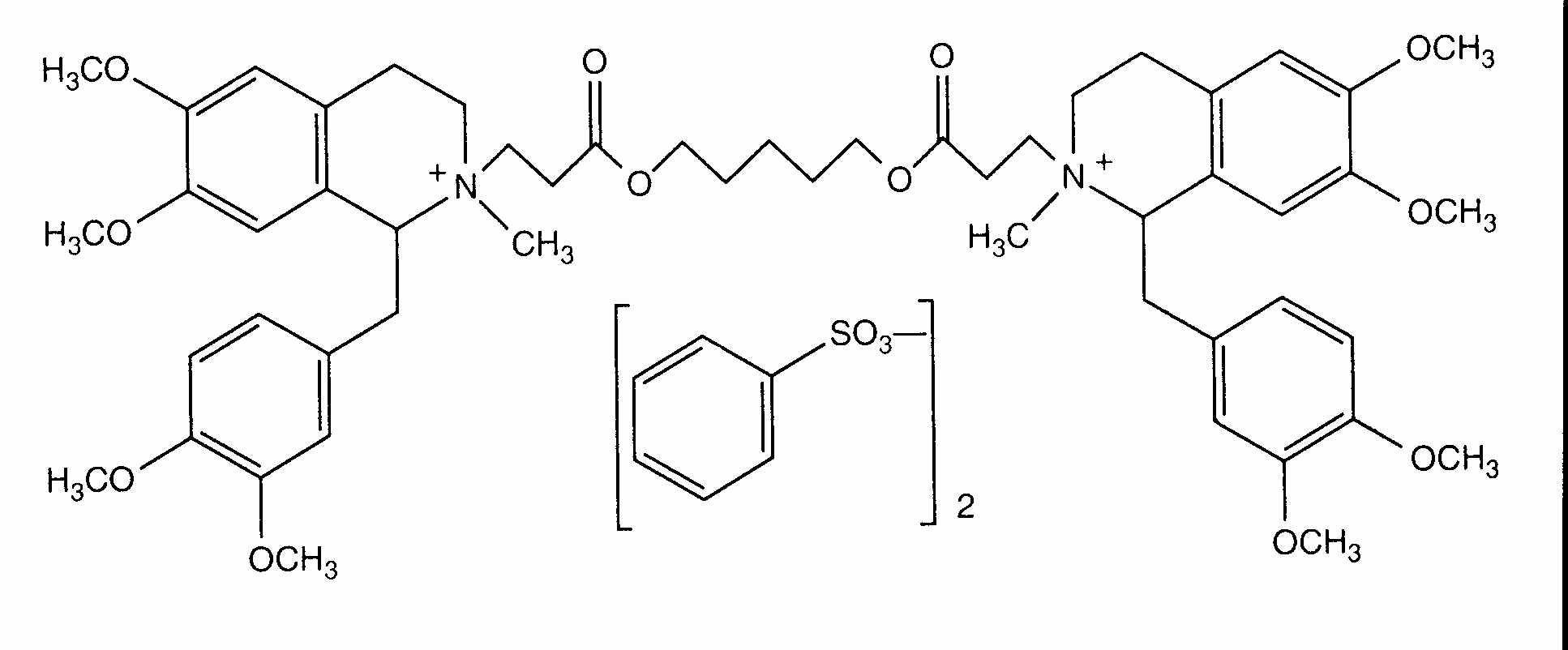
   Kemijska struktura  

Nekomercijalni   Nekomercijalni     

Zaštićeni nazivi su indikativni i sastav ekscipijensa može biti različit ovisno o državi i laboratorijima

Abbocurium Poljska
Acurmil Italija
Ancour Iran
Anecur Iran
Atacur Saudijska Arabija
Atrabesylate Egipat
Atracurio Argentina, Brazil, Španjolska
Atracurio besilato Čile, Italija, Peru, Venecuela
Atracurium Argentina, Austrija, Egipat, Iran, Italija, Malezija, Njemačka, Saudijska Arabija, Švedska, Ujedinjeni Arapski Emirati, Velika Britanija
Atracurium besilat Austrija
Atracurium besilate Australija, Egipat, Iran, Kanada, novi Zeland, S A D, Saudijska Arabija, Ujedinjeni Arapski Emirati
Atralex Malezija
Atrasyl Turska
Besilato Atracurio Čile, Portugal, Španjolska
Faulcurium Egipat, Portugal
Gelolagar Argentina
Laurak Španjolska
Neucurium Turska
Notrixum Turska
Relactrac Kolumbija
Relatrac Meksiko
Tracrium Austrija, Belgija, Čile, Egipat, Ekvador, Francuska, Grčka, Iran, Irska, Italija, Kolumbija, Luksemburg, Madžarska, Malezija, Maroko, Meksiko, Nizozemska, Njemačka, novi Zeland, Poljska, Portugal, Rumunjska, S A D, Saudijska Arabija, Slovenija, Španjolska, Švicarska, Turska, Ujedinjeni Arapski Emirati, Velika Britanija
Tracumek Peru
Tracurix Argentina
Tracuron Argentina
Kompatibilnosti   injekcija   Kompatibilnosti : Atracurium besylate              
Ovdje su prikazane kompatibilnosti ili nekompatibilnosti s tipom nekompatibilnosti (taloženje, promjena boje, modifikacija emulzije itd.) u ovom slučaju. Kompatibilnosti prikazane ovdje najčešće su fizikalne dok se kemijska stabilnost molekule rijetko procjenjuje. Procjena ovih mikstura je proučavana kako bi se razmotrila mogućnost primjene lijeka putem Y-mjesta. Ovi se podaci ne smiju koristiti za pripremu mikstura unaprijed u vrećicama ili štrcaljkama. Ova vrsta informacije se može pronaći u odjeljku « stabilnost u miksturama ».
molekula sredstvo za rastapanje Bibliografija
Neodređena nespojivost inkompatibilan
injekcija Atracurium besylate
injekcija Amobarbital sodium
3676
inkompatibilan
injekcija Atracurium besylate 0.5 mg/ml
Ringer laktat 1093
Kompatibilan
injekcija Atracurium besylate 0.5 mg/ml
injekcija Aminophylline 1 mg/ml
glukoza 5% 402
Kompatibilan
injekcija Atracurium besylate 5 mg/ml
injekcija Amiodarone hydrochloride 6 mg/ml
glukoza 5% 1611
Kompatibilan
injekcija Atracurium besylate 0.5 mg/ml
injekcija Cefazolin sodium 10 mg/ml
glukoza 5% 402
Kompatibilan
injekcija Atracurium besylate
glukoza 5% 3629
Kompatibilan
injekcija Atracurium besylate 0.5 mg/ml
injekcija Cefuroxime sodium 7.5 mg/ml
glukoza 5% 402
Kompatibilan
injekcija Atracurium besylate 0.5 mg/ml
injekcija Co-trimoxazole 3.2/0.64 mg/ml
glukoza 5% 402
Neposredne oborine inkompatibilan
injekcija Atracurium besylate 0.5 mg/ml
injekcija Diazepam 5 mg/ml
glukoza 5% 402
Neposredne oborine inkompatibilan
injekcija Atracurium besylate
injekcija Diclofenac
1647
Kompatibilan
injekcija Atracurium besylate 0.5 mg/ml
injekcija Dopamine hydrochloride 1.6 mg/ml
glukoza 5% 402
Neodređena nespojivost inkompatibilan
injekcija Atracurium besylate
NaHCO3 3676
Kompatibilan
injekcija Atracurium besylate 0.5 mg/ml
injekcija Cimetidine hydrochloride 6 mg/ml
glukoza 5% 402
Kompatibilan
injekcija Atracurium besylate
injekcija Dexmedetomidine
5042
Kompatibilan
injekcija Atracurium besylate 0.5 mg/ml
injekcija Dobutamine hydrochloride 1 mg/ml
glukoza 5% 402
Neodređena nespojivost inkompatibilan
injekcija Atracurium besylate
NaHCO3 3629
Kompatibilan
injekcija Atracurium besylate 2 mg/ml
injekcija Ciprofloxacin lactate 2 mg/ml
glukoza 5% 285
Kompatibilan
injekcija Atracurium besylate 0.5 mg/ml
injekcija Epinephrine hydrochloride 4 µg/ml
glukoza 5% 402
Kompatibilan
injekcija Atracurium besylate 0.5 mg/ml
injekcija Esmolol hydrochloride 10 mg/ml
glukoza 5% 402
Kompatibilan
injekcija Atracurium besylate 10 mg/ml
Parenteralna prehrana (bezlipidna) 939
Kompatibilan
injekcija Atracurium besylate 10 mg/ml
injekcija Etomidate 2 mg/ml
nijedan 319
Kompatibilan
injekcija Atracurium besylate 0.5 mg/ml
injekcija Fenoldopam mesylate 80 µg/ml
natrijumkorid 0,9% 1803
Kompatibilan
injekcija Atracurium besylate 0.5 mg/ml
injekcija Fentanyl citrate 10 µg/ml
glukoza 5% 402
Kompatibilan
injekcija Atracurium besylate 0.5 mg/ml
injekcija Gentamicin sulfate 2 mg/ml
glukoza 5% 402
Kompatibilan
injekcija Atracurium besylate 0.5 mg/ml
injekcija Heparin sodium 40 UI/ml
glukoza 5% 402
Kompatibilan
injekcija Atracurium besylate 0.5 mg/ml
injekcija Hetastarch 60 mg/ml
Specifična otapala 1721
Kompatibilan
injekcija Atracurium besylate 0.5 mg/ml
injekcija Hydrocortisone sodium succinate 1 mg/ml
glukoza 5% 402
Kompatibilan
injekcija Atracurium besylate 0.5 mg/ml
injekcija Isoprenaline hydrochloride 0.004 mg/ml
glukoza 5% 402
Kompatibilan
injekcija Atracurium besylate 0.5 mg/ml
injekcija Lorazepam 0.5 mg/ml
glukoza 5% 402
Neodređena nespojivost inkompatibilan
injekcija Atracurium besylate
injekcija Methohexital sodium
3676
Kompatibilan
injekcija Atracurium besylate 1 & 5 mg/ml
injekcija Midazolam hydrochloride 0.1 & 0.5 mg/ml
glukoza 5% 865
Kompatibilan
injekcija Atracurium besylate 0.5 mg/ml
injekcija Midazolam hydrochloride 0.05 mg/ml
glukoza 5% 402
Kompatibilan
injekcija Atracurium besylate 2 mg/ml
injekcija Milrinone lactate 0.8 mg/ml
glukoza 5% 813
Kompatibilan
injekcija Atracurium besylate 0.5 mg/ml
injekcija Morphine sulfate 1 mg/ml
glukoza 5% 402
Kompatibilan
injekcija Atracurium besylate 0.5 mg/ml
injekcija Nitroglycerin 0.4 mg/ml
glukoza 5% 402
Kompatibilan
injekcija Atracurium besylate 0.5 mg/ml
injekcija Nitroprusside sodium 0.2 mg/ml
glukoza 5% 402
Neodređena nespojivost inkompatibilan
injekcija Atracurium besylate
injekcija Pentobarbital sodium
3676
Neodređena nespojivost inkompatibilan
injekcija Atracurium besylate
injekcija Phenobarbital sodium
3676
Neposredna nestabilnost emulzije inkompatibilan
injekcija Atracurium besylate 10 mg/ml
injekcija Propofol 10 mg/ml
nijedan 300
Nestabilnost emulzije nakon 1 sata inkompatibilan
injekcija Atracurium besylate 10 mg/ml
injekcija Propofol
660
Neodređena nespojivost inkompatibilan
injekcija Atracurium besylate
injekcija Propofol
3659
Kompatibilan
injekcija Atracurium besylate 10 mg/ml
injekcija Propofol 2 mg/ml
nijedan 319
Neodređena nespojivost inkompatibilan
injekcija Atracurium besylate
injekcija Propofol
3502
Kompatibilan
injekcija Atracurium besylate 0.5 mg/ml
injekcija Ranitidine hydrochloride 0.5 mg/ml
glukoza 5% 402
Neodređena nespojivost inkompatibilan
injekcija Atracurium besylate
injekcija Sodium bicarbonate
3629
Neodređena nespojivost inkompatibilan
injekcija Atracurium besylate
injekcija Sodium bicarbonate
3676
Neposredne oborine inkompatibilan
injekcija Atracurium besylate
injekcija Thiopental sodium
3373
Neodređena nespojivost inkompatibilan
injekcija Atracurium besylate
injekcija Thiopental sodium
3629
Neodređena nespojivost inkompatibilan
injekcija Atracurium besylate
injekcija Thiopental sodium
3676
Kompatibilan
injekcija Atracurium besylate 0.2 mg/ml
injekcija Valproic acid 2 & 20 mg/ml
natrijumkorid 0,9% 4428
Kompatibilan
injekcija Atracurium besylate
natrijumkorid 0,9% 3629
Neposredna zamućenost inkompatibilan
injekcija Atracurium besylate 10 mg/ml
injekcija Thiopental sodium 25 mg/ml
čista voda za injektiranje 319
Kompatibilan
injekcija Atracurium besylate 0.2 mg/ml
injekcija Valproic acid 2 & 20 mg/ml
glukoza 5% 4428
Kompatibilan
injekcija Atracurium besylate 0.5 mg/ml
injekcija Vancomycin hydrochloride 5 mg/ml
glukoza 5% 402

  Mentions Légales