Letztes “update” :
27/04/2026
Durch Curarin narkotisierend   Atracurium besylate  
Injektion
Stabilität der Lösung Gemengestabilität Stabilitätbeeinflussende Faktoren Kompatibilitäten Applikationsart Literaturverzeichnis pdf
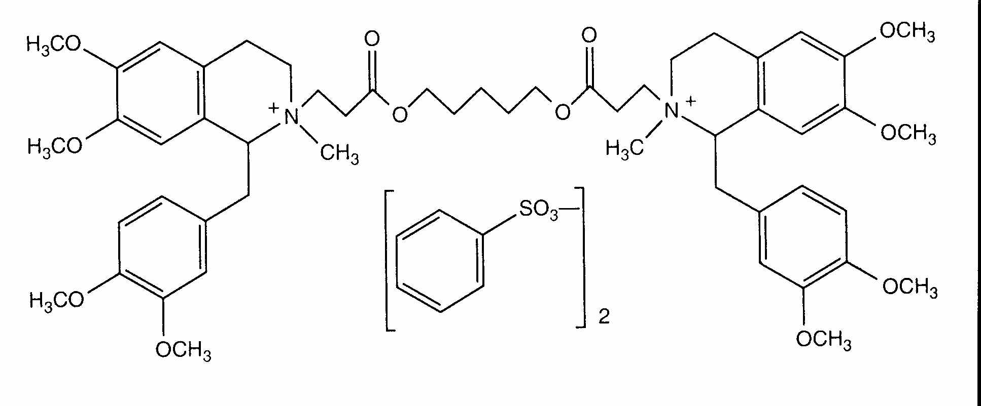
   Chemische Struktur  

Handelsmarke   Handelsmarke     

Handelsnamen sind als beispielhaft anzusehen. Sonstige Bestandteile können je nach Hersteller oder Land verschieden sein

Abbocurium Polen
Acurmil Italien
Ancour Iran
Anecur Iran
Atacur Saudi-Arabien
Atrabesylate Ägypten
Atracurio Argentinien, Brasilien, Spanien
Atracurio besilato Chile, Italien, Peru, Venezuela
Atracurium Ägypten, Argentinien, Deutschland, Großbritannien, Iran, Italien, Malaysia, Österreich, Saudi-Arabien, Schweden, Vereinigte Arabische Emirate
Atracurium besilat Österreich
Atracurium besilate Ägypten, Australien, Iran, Kanada, Neuseeland, Saudi-Arabien, Vereinigte Arabische Emirate, Vereinigte Staaten von Amerika
Atralex Malaysia
Atrasyl Türkei
Besilato Atracurio Chile, Portugal, Spanien
Faulcurium Ägypten, Portugal
Gelolagar Argentinien
Laurak Spanien
Neucurium Türkei
Notrixum Türkei
Relactrac Kolumbien
Relatrac Mexiko
Tracrium Ägypten, Belgien, Chile, Deutschland, Ecuador, Frankreich, Griechenland, Großbritannien, Iran, Irland, Italien, Kolumbien, Luxemburg, Malaysia, Marokko, Mexiko, Neuseeland, Niederlande, Österreich, Polen, Portugal, Rumänien, Saudi-Arabien, Schweiz, Slowenien, Spanien, Türkei, Ungarn, Vereinigte Arabische Emirate, Vereinigte Staaten von Amerika
Tracumek Peru
Tracurix Argentinien
Tracuron Argentinien
Kompatibilitäten   Injektion   Kompatibilitäten : Atracurium besylate              
Dieser Bildschirm zeigt die Kompatibilitäten oder Inkompatibilitäten mit der Art der Inkompatibilität (hier: Ausfällung, Farbänderung, Modifikation einer Emulsion usw.) an. Die hier gezeigten Kompatibilitäten sind meist nur physikalisch, wobei die chemische Stabilität jedes Moleküls selten bewertet wird. Die Bewertung dieser Gemische wurde untersucht, um die Möglichkeit einer Verabreichung über eine Y-Verbindung zu berücksichtigen. Diese Daten können daher nicht zur Herstellung von Mischungen im Voraus in Beuteln oder Spritzen verwendet werden. Sie finden diese Informationen auf dem Bildschirm "Stabilität in Mischung».
Molekül Lösungsmittel Literaturverzeichnis
Nicht spezifizierte Inkompatibilität nicht kompatibel
Injektion Atracurium besylate
Injektion Amobarbital sodium
3676
nicht kompatibel
Injektion Atracurium besylate 0.5 mg/ml
Ringer Lactat - Lösung 1093
kompatibel
Injektion Atracurium besylate 0.5 mg/ml
Injektion Aminophylline 1 mg/ml
5% Glucose 402
kompatibel
Injektion Atracurium besylate 5 mg/ml
Injektion Amiodarone hydrochloride 6 mg/ml
5% Glucose 1611
kompatibel
Injektion Atracurium besylate 0.5 mg/ml
Injektion Cefazolin sodium 10 mg/ml
5% Glucose 402
kompatibel
Injektion Atracurium besylate
5% Glucose 3629
kompatibel
Injektion Atracurium besylate 0.5 mg/ml
Injektion Cefuroxime sodium 7.5 mg/ml
5% Glucose 402
kompatibel
Injektion Atracurium besylate 0.5 mg/ml
Injektion Co-trimoxazole 3.2/0.64 mg/ml
5% Glucose 402
Sofortiger Niederschlag nicht kompatibel
Injektion Atracurium besylate 0.5 mg/ml
Injektion Diazepam 5 mg/ml
5% Glucose 402
Sofortiger Niederschlag nicht kompatibel
Injektion Atracurium besylate
Injektion Diclofenac
1647
kompatibel
Injektion Atracurium besylate 0.5 mg/ml
Injektion Dopamine hydrochloride 1.6 mg/ml
5% Glucose 402
Nicht spezifizierte Inkompatibilität nicht kompatibel
Injektion Atracurium besylate
NaHCO3 3676
kompatibel
Injektion Atracurium besylate 0.5 mg/ml
Injektion Cimetidine hydrochloride 6 mg/ml
5% Glucose 402
kompatibel
Injektion Atracurium besylate
Injektion Dexmedetomidine
5042
kompatibel
Injektion Atracurium besylate 0.5 mg/ml
Injektion Dobutamine hydrochloride 1 mg/ml
5% Glucose 402
Nicht spezifizierte Inkompatibilität nicht kompatibel
Injektion Atracurium besylate
NaHCO3 3629
kompatibel
Injektion Atracurium besylate 2 mg/ml
Injektion Ciprofloxacin lactate 2 mg/ml
5% Glucose 285
kompatibel
Injektion Atracurium besylate 0.5 mg/ml
Injektion Epinephrine hydrochloride 4 µg/ml
5% Glucose 402
kompatibel
Injektion Atracurium besylate 0.5 mg/ml
Injektion Esmolol hydrochloride 10 mg/ml
5% Glucose 402
kompatibel
Injektion Atracurium besylate 10 mg/ml
Parenterale Ernährung (Lipid-frei) 939
kompatibel
Injektion Atracurium besylate 10 mg/ml
Injektion Etomidate 2 mg/ml
Kein 319
kompatibel
Injektion Atracurium besylate 0.5 mg/ml
Injektion Fenoldopam mesylate 80 µg/ml
0,9% Natriumchlorid 1803
kompatibel
Injektion Atracurium besylate 0.5 mg/ml
Injektion Fentanyl citrate 10 µg/ml
5% Glucose 402
kompatibel
Injektion Atracurium besylate 0.5 mg/ml
Injektion Gentamicin sulfate 2 mg/ml
5% Glucose 402
kompatibel
Injektion Atracurium besylate 0.5 mg/ml
Injektion Heparin sodium 40 UI/ml
5% Glucose 402
kompatibel
Injektion Atracurium besylate 0.5 mg/ml
Injektion Hetastarch 60 mg/ml
spezifische Lösungsmittel 1721
kompatibel
Injektion Atracurium besylate 0.5 mg/ml
Injektion Hydrocortisone sodium succinate 1 mg/ml
5% Glucose 402
kompatibel
Injektion Atracurium besylate 0.5 mg/ml
Injektion Isoprenaline hydrochloride 0.004 mg/ml
5% Glucose 402
kompatibel
Injektion Atracurium besylate 0.5 mg/ml
Injektion Lorazepam 0.5 mg/ml
5% Glucose 402
Nicht spezifizierte Inkompatibilität nicht kompatibel
Injektion Atracurium besylate
Injektion Methohexital sodium
3676
kompatibel
Injektion Atracurium besylate 1 & 5 mg/ml
Injektion Midazolam hydrochloride 0.1 & 0.5 mg/ml
5% Glucose 865
kompatibel
Injektion Atracurium besylate 0.5 mg/ml
Injektion Midazolam hydrochloride 0.05 mg/ml
5% Glucose 402
kompatibel
Injektion Atracurium besylate 2 mg/ml
Injektion Milrinone lactate 0.8 mg/ml
5% Glucose 813
kompatibel
Injektion Atracurium besylate 0.5 mg/ml
Injektion Morphine sulfate 1 mg/ml
5% Glucose 402
kompatibel
Injektion Atracurium besylate 0.5 mg/ml
Injektion Nitroglycerin 0.4 mg/ml
5% Glucose 402
kompatibel
Injektion Atracurium besylate 0.5 mg/ml
Injektion Nitroprusside sodium 0.2 mg/ml
5% Glucose 402
Nicht spezifizierte Inkompatibilität nicht kompatibel
Injektion Atracurium besylate
Injektion Pentobarbital sodium
3676
Nicht spezifizierte Inkompatibilität nicht kompatibel
Injektion Atracurium besylate
Injektion Phenobarbital sodium
3676
Sofortige Instabilität der Emulsion nicht kompatibel
Injektion Atracurium besylate 10 mg/ml
Injektion Propofol 10 mg/ml
Kein 300
Instabilität der Emulsion nach 1 Stunde nicht kompatibel
Injektion Atracurium besylate 10 mg/ml
Injektion Propofol
660
Nicht spezifizierte Inkompatibilität nicht kompatibel
Injektion Atracurium besylate
Injektion Propofol
3659
kompatibel
Injektion Atracurium besylate 10 mg/ml
Injektion Propofol 2 mg/ml
Kein 319
Nicht spezifizierte Inkompatibilität nicht kompatibel
Injektion Atracurium besylate
Injektion Propofol
3502
kompatibel
Injektion Atracurium besylate 0.5 mg/ml
Injektion Ranitidine hydrochloride 0.5 mg/ml
5% Glucose 402
Nicht spezifizierte Inkompatibilität nicht kompatibel
Injektion Atracurium besylate
Injektion Sodium bicarbonate
3629
Nicht spezifizierte Inkompatibilität nicht kompatibel
Injektion Atracurium besylate
Injektion Sodium bicarbonate
3676
Sofortiger Niederschlag nicht kompatibel
Injektion Atracurium besylate
Injektion Thiopental sodium
3373
Nicht spezifizierte Inkompatibilität nicht kompatibel
Injektion Atracurium besylate
Injektion Thiopental sodium
3629
Nicht spezifizierte Inkompatibilität nicht kompatibel
Injektion Atracurium besylate
Injektion Thiopental sodium
3676
kompatibel
Injektion Atracurium besylate 0.2 mg/ml
Injektion Valproic acid 2 & 20 mg/ml
0,9% Natriumchlorid 4428
kompatibel
Injektion Atracurium besylate
0,9% Natriumchlorid 3629
Sofortige Trübung nicht kompatibel
Injektion Atracurium besylate 10 mg/ml
Injektion Thiopental sodium 25 mg/ml
Wasser für injektable präparate 319
kompatibel
Injektion Atracurium besylate 0.2 mg/ml
Injektion Valproic acid 2 & 20 mg/ml
5% Glucose 4428
kompatibel
Injektion Atracurium besylate 0.5 mg/ml
Injektion Vancomycin hydrochloride 5 mg/ml
5% Glucose 402

  Mentions Légales