آخر تحديث :
27/04/2026
 أدوية علاجيه   Atracurium besylate  
حقن
الاستقرار في حلول استقرار مخاليط العوامل التي تؤثر على الاستقرار التوافق طريقة التعاطي مراجع pdf
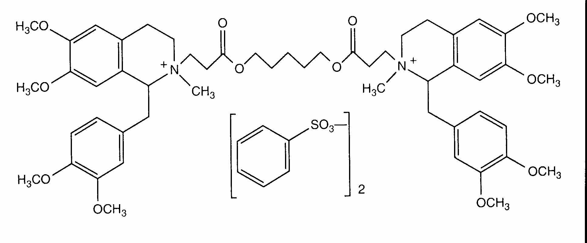
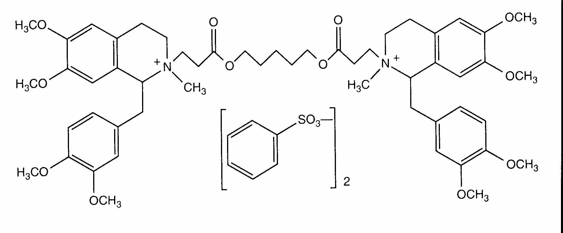
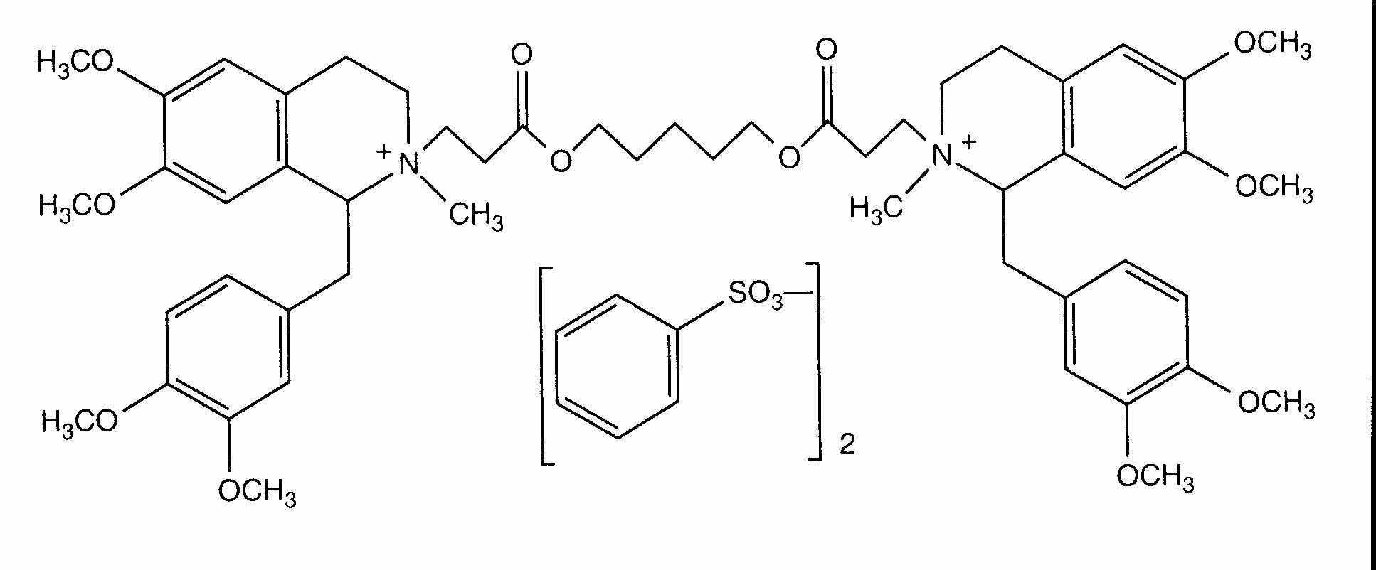
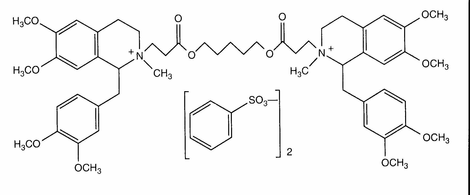
   التركيب الكيميائي  

حجز الاسم التجاري   حجز الاسم التجاري     

تحذير الأسماء التجاريه المختلفه قد تحتوي علي محتوي إضافات مختلفة حسب الدوله و المعمل

Abbocurium بولندا
Acurmil إيطاليا
Ancour إيران
Anecur إيران
Atacur العربية السعودية
Atrabesylate مصر
Atracurio إسبانيا, الأرجنتين, البرازيل
Atracurio besilato إيطاليا, بيرو, تشيلي, فنزويلا
Atracurium ألمانيا, إيران, إيطاليا, الأرجنتين, الإمارات العربية المتحدة, السويد, العربية السعودية, النمسا, بريطانيا العظمي, ماليزيا, مصر
Atracurium besilat النمسا
Atracurium besilate أستراليا, إيران, الإمارات العربية المتحدة, العربية السعودية, الولايات المتحدة, زيلاندا الجديدة, كندا, مصر
Atralex ماليزيا
Atrasyl تركيا
Besilato Atracurio إسبانيا, البرتغال, تشيلي
Faulcurium البرتغال, مصر
Gelolagar الأرجنتين
Laurak إسبانيا
Neucurium تركيا
Notrixum تركيا
Relactrac كولومبيا
Relatrac المكسيك
Tracrium ألمانيا, إسبانيا, إيران, إيطاليا, الإكوادور, الإمارات العربية المتحدة, البرتغال, العربية السعودية, المغرب, المكسيك, النمسا, الولايات المتحدة, ايرلندا, بريطانيا العظمي, بلجيكا, بولندا, تركيا, تشيلي, رومانيا, زيلاندا الجديدة, سلوفينيا, سويسرا, فرنسا, كولومبيا, لوكسمبورغ, ماليزيا, مصر, هنغاريا, هولندا, يونان
Tracumek بيرو
Tracurix الأرجنتين
Tracuron الأرجنتين
التوافق   حقن   التوافق : Atracurium besylate              
This screen indicates the compatibilities or incompatibilities with, in this case, the type of incompatibility (precipitation, color change, modification of an emulsion, etc.). The compatibilities shown here are mostly physical only, with the chemical stability of each molecule rarely being assessed. The evaluation of these mixtures was studied to consider the possibility of Y-site administration to the patient. These data cannot be used for making mixtures in advance in bags or syringes. This type of information is available in the screen "Stability in mixture ».
مركب مذيب مراجع
عدم توافق غير محدد غير متوافق
حقن Atracurium besylate
حقن Amobarbital sodium
3676
غير متوافق
حقن Atracurium besylate 0.5 mg/ml
محلول رينجر  اللاكتات 1093
kompatibel
حقن Atracurium besylate 0.5 mg/ml
حقن Aminophylline 1 mg/ml
الجلوكوز %5 402
kompatibel
حقن Atracurium besylate 5 mg/ml
حقن Amiodarone hydrochloride 6 mg/ml
الجلوكوز %5 1611
kompatibel
حقن Atracurium besylate 0.5 mg/ml
حقن Cefazolin sodium 10 mg/ml
الجلوكوز %5 402
kompatibel
حقن Atracurium besylate
الجلوكوز %5 3629
kompatibel
حقن Atracurium besylate 0.5 mg/ml
حقن Cefuroxime sodium 7.5 mg/ml
الجلوكوز %5 402
kompatibel
حقن Atracurium besylate 0.5 mg/ml
حقن Co-trimoxazole 3.2/0.64 mg/ml
الجلوكوز %5 402
هطول فوري غير متوافق
حقن Atracurium besylate 0.5 mg/ml
حقن Diazepam 5 mg/ml
الجلوكوز %5 402
هطول فوري غير متوافق
حقن Atracurium besylate
حقن Diclofenac
1647
kompatibel
حقن Atracurium besylate 0.5 mg/ml
حقن Dopamine hydrochloride 1.6 mg/ml
الجلوكوز %5 402
عدم توافق غير محدد غير متوافق
حقن Atracurium besylate
NaHCO3 3676
kompatibel
حقن Atracurium besylate 0.5 mg/ml
حقن Cimetidine hydrochloride 6 mg/ml
الجلوكوز %5 402
kompatibel
حقن Atracurium besylate
حقن Dexmedetomidine
5042
kompatibel
حقن Atracurium besylate 0.5 mg/ml
حقن Dobutamine hydrochloride 1 mg/ml
الجلوكوز %5 402
عدم توافق غير محدد غير متوافق
حقن Atracurium besylate
NaHCO3 3629
kompatibel
حقن Atracurium besylate 2 mg/ml
حقن Ciprofloxacin lactate 2 mg/ml
الجلوكوز %5 285
kompatibel
حقن Atracurium besylate 0.5 mg/ml
حقن Epinephrine hydrochloride 4 µg/ml
الجلوكوز %5 402
kompatibel
حقن Atracurium besylate 0.5 mg/ml
حقن Esmolol hydrochloride 10 mg/ml
الجلوكوز %5 402
kompatibel
حقن Atracurium besylate 10 mg/ml
 التغذية الوريدية (خالية من الدهن) 939
kompatibel
حقن Atracurium besylate 10 mg/ml
حقن Etomidate 2 mg/ml
لا شيء 319
kompatibel
حقن Atracurium besylate 0.5 mg/ml
حقن Fenoldopam mesylate 80 µg/ml
كلوريد الصوديوم 0.9% 1803
kompatibel
حقن Atracurium besylate 0.5 mg/ml
حقن Fentanyl citrate 10 µg/ml
الجلوكوز %5 402
kompatibel
حقن Atracurium besylate 0.5 mg/ml
حقن Gentamicin sulfate 2 mg/ml
الجلوكوز %5 402
kompatibel
حقن Atracurium besylate 0.5 mg/ml
حقن Heparin sodium 40 UI/ml
الجلوكوز %5 402
kompatibel
حقن Atracurium besylate 0.5 mg/ml
حقن Hetastarch 60 mg/ml
مذيب معين 1721
kompatibel
حقن Atracurium besylate 0.5 mg/ml
حقن Hydrocortisone sodium succinate 1 mg/ml
الجلوكوز %5 402
kompatibel
حقن Atracurium besylate 0.5 mg/ml
حقن Isoprenaline hydrochloride 0.004 mg/ml
الجلوكوز %5 402
kompatibel
حقن Atracurium besylate 0.5 mg/ml
حقن Lorazepam 0.5 mg/ml
الجلوكوز %5 402
عدم توافق غير محدد غير متوافق
حقن Atracurium besylate
حقن Methohexital sodium
3676
kompatibel
حقن Atracurium besylate 1 & 5 mg/ml
حقن Midazolam hydrochloride 0.1 & 0.5 mg/ml
الجلوكوز %5 865
kompatibel
حقن Atracurium besylate 0.5 mg/ml
حقن Midazolam hydrochloride 0.05 mg/ml
الجلوكوز %5 402
kompatibel
حقن Atracurium besylate 2 mg/ml
حقن Milrinone lactate 0.8 mg/ml
الجلوكوز %5 813
kompatibel
حقن Atracurium besylate 0.5 mg/ml
حقن Morphine sulfate 1 mg/ml
الجلوكوز %5 402
kompatibel
حقن Atracurium besylate 0.5 mg/ml
حقن Nitroglycerin 0.4 mg/ml
الجلوكوز %5 402
kompatibel
حقن Atracurium besylate 0.5 mg/ml
حقن Nitroprusside sodium 0.2 mg/ml
الجلوكوز %5 402
عدم توافق غير محدد غير متوافق
حقن Atracurium besylate
حقن Pentobarbital sodium
3676
عدم توافق غير محدد غير متوافق
حقن Atracurium besylate
حقن Phenobarbital sodium
3676
عدم استقرار فوري للمستحلب غير متوافق
حقن Atracurium besylate 10 mg/ml
حقن Propofol 10 mg/ml
لا شيء 300
عدم استقرار المستحلب بعد ساعة واحدة غير متوافق
حقن Atracurium besylate 10 mg/ml
حقن Propofol
660
عدم توافق غير محدد غير متوافق
حقن Atracurium besylate
حقن Propofol
3659
kompatibel
حقن Atracurium besylate 10 mg/ml
حقن Propofol 2 mg/ml
لا شيء 319
عدم توافق غير محدد غير متوافق
حقن Atracurium besylate
حقن Propofol
3502
kompatibel
حقن Atracurium besylate 0.5 mg/ml
حقن Ranitidine hydrochloride 0.5 mg/ml
الجلوكوز %5 402
عدم توافق غير محدد غير متوافق
حقن Atracurium besylate
حقن Sodium bicarbonate
3629
عدم توافق غير محدد غير متوافق
حقن Atracurium besylate
حقن Sodium bicarbonate
3676
هطول فوري غير متوافق
حقن Atracurium besylate
حقن Thiopental sodium
3373
عدم توافق غير محدد غير متوافق
حقن Atracurium besylate
حقن Thiopental sodium
3629
عدم توافق غير محدد غير متوافق
حقن Atracurium besylate
حقن Thiopental sodium
3676
kompatibel
حقن Atracurium besylate 0.2 mg/ml
حقن Valproic acid 2 & 20 mg/ml
كلوريد الصوديوم 0.9% 4428
kompatibel
حقن Atracurium besylate
كلوريد الصوديوم 0.9% 3629
التعكر الفوري غير متوافق
حقن Atracurium besylate 10 mg/ml
حقن Thiopental sodium 25 mg/ml
حقن المياه لل 319
kompatibel
حقن Atracurium besylate 0.2 mg/ml
حقن Valproic acid 2 & 20 mg/ml
الجلوكوز %5 4428
kompatibel
حقن Atracurium besylate 0.5 mg/ml
حقن Vancomycin hydrochloride 5 mg/ml
الجلوكوز %5 402

  Mentions Légales