Ultimele actualizari :
27/04/2026
Curarizant   Atracurium besylate  
Injectabil
Stabilitatea in solutie Stabilitatea in amestec Factorii care influenteaza stabilitatea Compatibilitate Microunde Bibliografie pdf
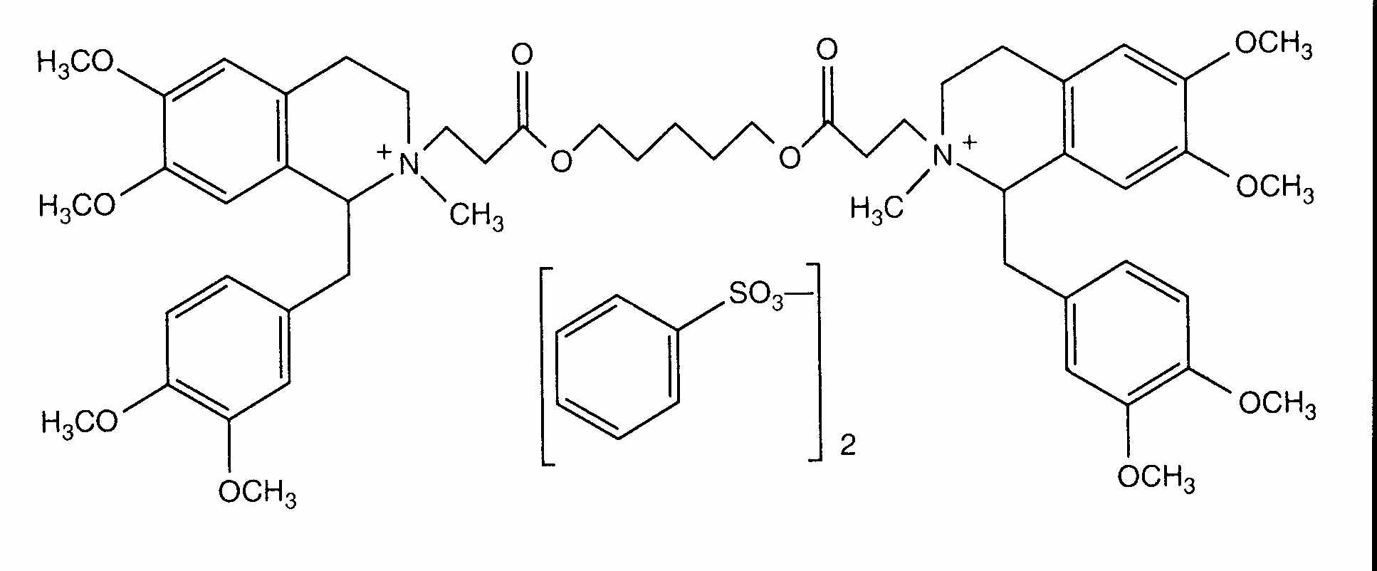
   Formula chimica  

Denumirea comerciala   Denumirea comerciala     

Trade names are indicative and excipients composition can be different depending on the country and manufacturers

Abbocurium Polonia
Acurmil Italia
Ancour Iran
Anecur Iran
Atacur Arabia Saudita
Atrabesylate Egipt
Atracurio Argentina, Brazilia, Spania
Atracurio besilato Chilli, Italia, Peru, Venezuela
Atracurium Arabia Saudita, Argentina, Austria, Egipt, Emiratele Arabe Unite, Germania, Iran, Italia, Malaezia, Marea Britanie, Suedia
Atracurium besilat Austria
Atracurium besilate Arabia Saudita, Australia, Canada, Egipt, Emiratele Arabe Unite, Iran, noua Zeelandă, SUA
Atralex Malaezia
Atrasyl Turcia
Besilato Atracurio Chilli, Portugalia, Spania
Faulcurium Egipt, Portugalia
Gelolagar Argentina
Laurak Spania
Neucurium Turcia
Notrixum Turcia
Relactrac Columbia
Relatrac Mexic
Tracrium Arabia Saudita, Austria, Belgia, Chilli, Columbia, Ecuador, Egipt, Elvetia, Emiratele Arabe Unite, Franta, Germania, Grecia, Iran, Irlanda, Italia, Luxemburg, Malaezia, Marea Britanie, Maroc, Mexic, noua Zeelandă, Olanda, Polonia, Portugalia, Romania, Slovenia, Spania, SUA, Turcia, Ungaria
Tracumek Peru
Tracurix Argentina
Tracuron Argentina
Compatibilitate   Injectabil   Compatibilitate : Atracurium besylate              
Acest ecran indică compatibilitățile sau incompatibilitățile cu, în acest caz, tipul de incompatibilitate (precipitații, schimbarea culorii, modificarea unei emulsii etc.). Compatibilitățile prezentate aici sunt în mare parte numai fizice, stabilitatea chimică a fiecărei molecule fiind rareori evaluată. Evaluarea acestor amestecuri a fost studiată pentru a lua în considerare posibilitatea administrării site-ului Y la pacient. Aceste date nu pot fi utilizate pentru prepararea în prealabil a amestecurilor în pungi sau seringi. Acest tip de informații este disponibil în ecranul „Stabilitate în amestec».
Molecula (substanta activa) Solvent Bibiografie
Incompatibilitate nespecificată Incompatibil
Injectabil Atracurium besylate
Injectabil Amobarbital sodium
3676
Incompatibil
Injectabil Atracurium besylate 0.5 mg/ml
Solutie Ringer lactat 1093
Compatibil
Injectabil Atracurium besylate 0.5 mg/ml
Injectabil Aminophylline 1 mg/ml
Glucoza 5% 402
Compatibil
Injectabil Atracurium besylate 5 mg/ml
Injectabil Amiodarone hydrochloride 6 mg/ml
Glucoza 5% 1611
Compatibil
Injectabil Atracurium besylate 0.5 mg/ml
Injectabil Cefazolin sodium 10 mg/ml
Glucoza 5% 402
Compatibil
Injectabil Atracurium besylate
Glucoza 5% 3629
Compatibil
Injectabil Atracurium besylate 0.5 mg/ml
Injectabil Cefuroxime sodium 7.5 mg/ml
Glucoza 5% 402
Compatibil
Injectabil Atracurium besylate 0.5 mg/ml
Injectabil Co-trimoxazole 3.2/0.64 mg/ml
Glucoza 5% 402
Precipitații imediate Incompatibil
Injectabil Atracurium besylate 0.5 mg/ml
Injectabil Diazepam 5 mg/ml
Glucoza 5% 402
Precipitații imediate Incompatibil
Injectabil Atracurium besylate
Injectabil Diclofenac
1647
Compatibil
Injectabil Atracurium besylate 0.5 mg/ml
Injectabil Dopamine hydrochloride 1.6 mg/ml
Glucoza 5% 402
Incompatibilitate nespecificată Incompatibil
Injectabil Atracurium besylate
NaHCO3 3676
Compatibil
Injectabil Atracurium besylate 0.5 mg/ml
Injectabil Cimetidine hydrochloride 6 mg/ml
Glucoza 5% 402
Compatibil
Injectabil Atracurium besylate
Injectabil Dexmedetomidine
5042
Compatibil
Injectabil Atracurium besylate 0.5 mg/ml
Injectabil Dobutamine hydrochloride 1 mg/ml
Glucoza 5% 402
Incompatibilitate nespecificată Incompatibil
Injectabil Atracurium besylate
NaHCO3 3629
Compatibil
Injectabil Atracurium besylate 2 mg/ml
Injectabil Ciprofloxacin lactate 2 mg/ml
Glucoza 5% 285
Compatibil
Injectabil Atracurium besylate 0.5 mg/ml
Injectabil Epinephrine hydrochloride 4 µg/ml
Glucoza 5% 402
Compatibil
Injectabil Atracurium besylate 0.5 mg/ml
Injectabil Esmolol hydrochloride 10 mg/ml
Glucoza 5% 402
Compatibil
Injectabil Atracurium besylate 10 mg/ml
Nutritie parenterala (amestec binar) 939
Compatibil
Injectabil Atracurium besylate 10 mg/ml
Injectabil Etomidate 2 mg/ml
fara 319
Compatibil
Injectabil Atracurium besylate 0.5 mg/ml
Injectabil Fenoldopam mesylate 80 µg/ml
clorura de sodiu 0,9% 1803
Compatibil
Injectabil Atracurium besylate 0.5 mg/ml
Injectabil Fentanyl citrate 10 µg/ml
Glucoza 5% 402
Compatibil
Injectabil Atracurium besylate 0.5 mg/ml
Injectabil Gentamicin sulfate 2 mg/ml
Glucoza 5% 402
Compatibil
Injectabil Atracurium besylate 0.5 mg/ml
Injectabil Heparin sodium 40 UI/ml
Glucoza 5% 402
Compatibil
Injectabil Atracurium besylate 0.5 mg/ml
Injectabil Hetastarch 60 mg/ml
specific de solvent 1721
Compatibil
Injectabil Atracurium besylate 0.5 mg/ml
Injectabil Hydrocortisone sodium succinate 1 mg/ml
Glucoza 5% 402
Compatibil
Injectabil Atracurium besylate 0.5 mg/ml
Injectabil Isoprenaline hydrochloride 0.004 mg/ml
Glucoza 5% 402
Compatibil
Injectabil Atracurium besylate 0.5 mg/ml
Injectabil Lorazepam 0.5 mg/ml
Glucoza 5% 402
Incompatibilitate nespecificată Incompatibil
Injectabil Atracurium besylate
Injectabil Methohexital sodium
3676
Compatibil
Injectabil Atracurium besylate 1 & 5 mg/ml
Injectabil Midazolam hydrochloride 0.1 & 0.5 mg/ml
Glucoza 5% 865
Compatibil
Injectabil Atracurium besylate 0.5 mg/ml
Injectabil Midazolam hydrochloride 0.05 mg/ml
Glucoza 5% 402
Compatibil
Injectabil Atracurium besylate 2 mg/ml
Injectabil Milrinone lactate 0.8 mg/ml
Glucoza 5% 813
Compatibil
Injectabil Atracurium besylate 0.5 mg/ml
Injectabil Morphine sulfate 1 mg/ml
Glucoza 5% 402
Compatibil
Injectabil Atracurium besylate 0.5 mg/ml
Injectabil Nitroglycerin 0.4 mg/ml
Glucoza 5% 402
Compatibil
Injectabil Atracurium besylate 0.5 mg/ml
Injectabil Nitroprusside sodium 0.2 mg/ml
Glucoza 5% 402
Incompatibilitate nespecificată Incompatibil
Injectabil Atracurium besylate
Injectabil Pentobarbital sodium
3676
Incompatibilitate nespecificată Incompatibil
Injectabil Atracurium besylate
Injectabil Phenobarbital sodium
3676
Instabilitate imediată a emulsiei Incompatibil
Injectabil Atracurium besylate 10 mg/ml
Injectabil Propofol 10 mg/ml
fara 300
Instabilitatea emulsiei după 1 oră Incompatibil
Injectabil Atracurium besylate 10 mg/ml
Injectabil Propofol
660
Incompatibilitate nespecificată Incompatibil
Injectabil Atracurium besylate
Injectabil Propofol
3659
Compatibil
Injectabil Atracurium besylate 10 mg/ml
Injectabil Propofol 2 mg/ml
fara 319
Incompatibilitate nespecificată Incompatibil
Injectabil Atracurium besylate
Injectabil Propofol
3502
Compatibil
Injectabil Atracurium besylate 0.5 mg/ml
Injectabil Ranitidine hydrochloride 0.5 mg/ml
Glucoza 5% 402
Incompatibilitate nespecificată Incompatibil
Injectabil Atracurium besylate
Injectabil Sodium bicarbonate
3629
Incompatibilitate nespecificată Incompatibil
Injectabil Atracurium besylate
Injectabil Sodium bicarbonate
3676
Precipitații imediate Incompatibil
Injectabil Atracurium besylate
Injectabil Thiopental sodium
3373
Incompatibilitate nespecificată Incompatibil
Injectabil Atracurium besylate
Injectabil Thiopental sodium
3629
Incompatibilitate nespecificată Incompatibil
Injectabil Atracurium besylate
Injectabil Thiopental sodium
3676
Compatibil
Injectabil Atracurium besylate 0.2 mg/ml
Injectabil Valproic acid 2 & 20 mg/ml
clorura de sodiu 0,9% 4428
Compatibil
Injectabil Atracurium besylate
clorura de sodiu 0,9% 3629
Turbiditate imediată Incompatibil
Injectabil Atracurium besylate 10 mg/ml
Injectabil Thiopental sodium 25 mg/ml
apa pentru preparate injectabile 319
Compatibil
Injectabil Atracurium besylate 0.2 mg/ml
Injectabil Valproic acid 2 & 20 mg/ml
Glucoza 5% 4428
Compatibil
Injectabil Atracurium besylate 0.5 mg/ml
Injectabil Vancomycin hydrochloride 5 mg/ml
Glucoza 5% 402

  Mentions Légales