Posledná aktualizácia :
27/04/2026
kurarimimetikum/periférne myorelaxans   Atracurium besylate  
Injekcia
Stabilita roztokov Stabilita v zmesiach Faktory ovplyvňujúce stabilitu Kompatibility spôsob podania Odkazy na literatúru PDF
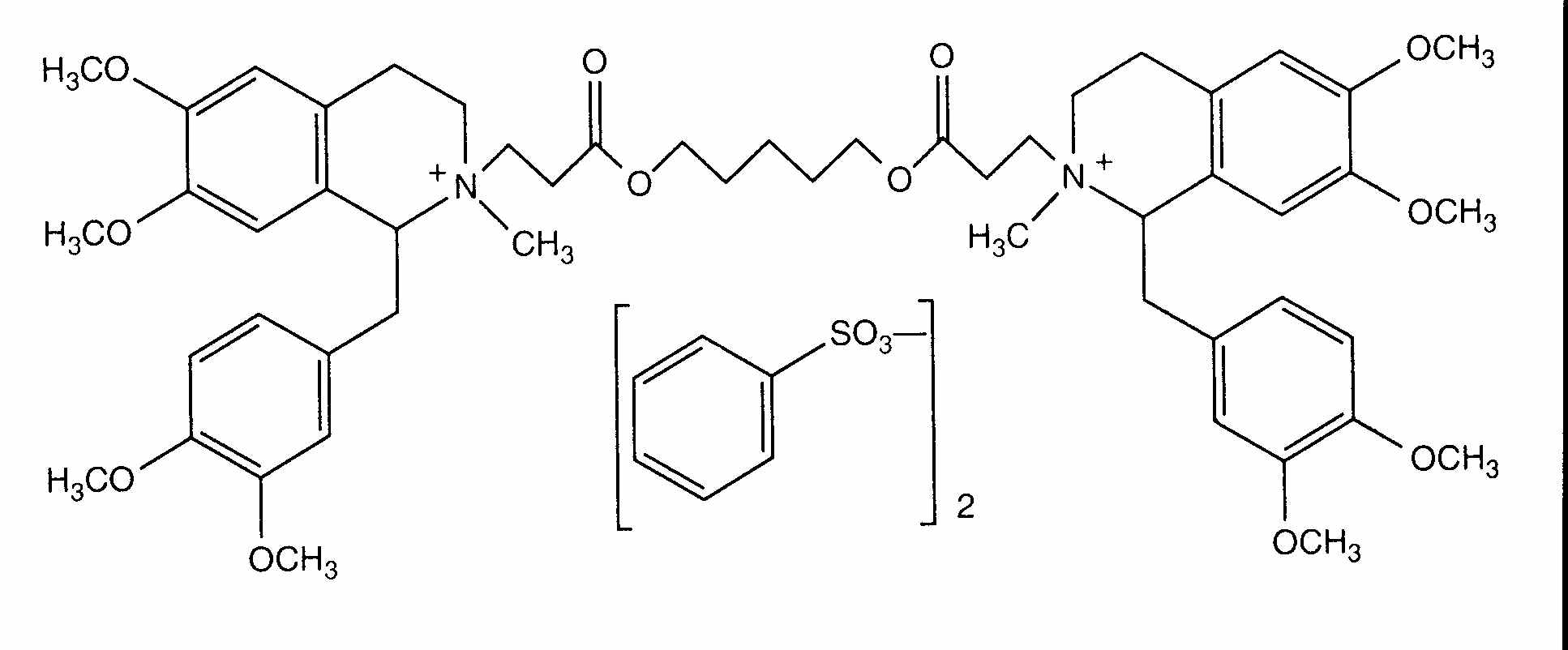
   Chemický vzorec  

Obchodný názov   Obchodný názov     

Obchodné názvy sú orientačné, a zloženie pomocných látok sa môže líšiť v závislosti od krajiny a výrobcu.

Abbocurium Poľsko
Acurmil Taliansko
Ancour Irán
Anecur Irán
Atacur Saudská Arábia
Atrabesylate Egypt
Atracurio Argentína, Brazília, Španielsko
Atracurio besilato Čile, peru, Taliansko, Venezuela
Atracurium Argentína, Egypt, Irán, Malajzia, Nemecko, Rakúsko, Saudská Arábia, Spojené arabské emiráty, Švédsko, Taliansko, Veľká Británia
Atracurium besilat Rakúsko
Atracurium besilate Austrália, Egypt, Irán, Kanada, nový Zéland, Saudská Arábia, Spojené arabské emiráty, Spojené štáty Americké
Atralex Malajzia
Atrasyl Turecko
Besilato Atracurio Čile, Portugalsko, Španielsko
Faulcurium Egypt, Portugalsko
Gelolagar Argentína
Laurak Španielsko
Neucurium Turecko
Notrixum Turecko
Relactrac Kolumbia
Relatrac Mexiko
Tracrium Belgicko, Čile, Egypt, Ekvádor, Francúzsko, Grécko, Holandsko, Irán, Írsko, Kolumbia, Luxembursko, Maďarsko, Malajzia, Maroko, Mexiko, Nemecko, nový Zéland, Poľsko, Portugalsko, Rakúsko, Rumunsko, Saudská Arábia, Slovinsko, Španielsko, Spojené arabské emiráty, Spojené štáty Americké, Švajčiarsko, Taliansko, Turecko, Veľká Británia
Tracumek peru
Tracurix Argentína
Tracuron Argentína
Kompatibility   Injekcia   Kompatibility : Atracurium besylate              
Toto okno zobrazuje kompatibility alebo inkombatibility, v prípade inkompatibility aj jej typ (vyzrážanie, zmena farby, zmena emulzie atď.). Tu vymenované kompatibility sú väčšinou len fyzikálne, chemická stabilita každej zo zlúčenín sa hodnotila len zriedkavo. Tieto zmesi sa skúmali za účelom možnosti súbežného podávania pacientovi cez infúznu spojku Y. Údaje sa nedajú použiť na prípravu zmesí vo vakoch alebo striekačkách. Taká informácia sa nachádza v okne „Stabilita v zmesiach“.
Zlúčenina rozpúšťadlo odkazy na lieteratúru
Nešpecifikovaná nekompatibilita nezlučiteľný
Injekcia Atracurium besylate
Injekcia Amobarbital sodium
3676
nezlučiteľný
Injekcia Atracurium besylate 0.5 mg/ml
Ringerov laktátový roztok 1093
kompatibilný
Injekcia Atracurium besylate 0.5 mg/ml
Injekcia Aminophylline 1 mg/ml
5% glukóza 402
kompatibilný
Injekcia Atracurium besylate 5 mg/ml
Injekcia Amiodarone hydrochloride 6 mg/ml
5% glukóza 1611
kompatibilný
Injekcia Atracurium besylate 0.5 mg/ml
Injekcia Cefazolin sodium 10 mg/ml
5% glukóza 402
kompatibilný
Injekcia Atracurium besylate
5% glukóza 3629
kompatibilný
Injekcia Atracurium besylate 0.5 mg/ml
Injekcia Cefuroxime sodium 7.5 mg/ml
5% glukóza 402
kompatibilný
Injekcia Atracurium besylate 0.5 mg/ml
Injekcia Co-trimoxazole 3.2/0.64 mg/ml
5% glukóza 402
Okamžité zrážanie nezlučiteľný
Injekcia Atracurium besylate 0.5 mg/ml
Injekcia Diazepam 5 mg/ml
5% glukóza 402
Okamžité zrážanie nezlučiteľný
Injekcia Atracurium besylate
Injekcia Diclofenac
1647
kompatibilný
Injekcia Atracurium besylate 0.5 mg/ml
Injekcia Dopamine hydrochloride 1.6 mg/ml
5% glukóza 402
Nešpecifikovaná nekompatibilita nezlučiteľný
Injekcia Atracurium besylate
NaHCO3 3676
kompatibilný
Injekcia Atracurium besylate 0.5 mg/ml
Injekcia Cimetidine hydrochloride 6 mg/ml
5% glukóza 402
kompatibilný
Injekcia Atracurium besylate
Injekcia Dexmedetomidine
5042
kompatibilný
Injekcia Atracurium besylate 0.5 mg/ml
Injekcia Dobutamine hydrochloride 1 mg/ml
5% glukóza 402
Nešpecifikovaná nekompatibilita nezlučiteľný
Injekcia Atracurium besylate
NaHCO3 3629
kompatibilný
Injekcia Atracurium besylate 2 mg/ml
Injekcia Ciprofloxacin lactate 2 mg/ml
5% glukóza 285
kompatibilný
Injekcia Atracurium besylate 0.5 mg/ml
Injekcia Epinephrine hydrochloride 4 µg/ml
5% glukóza 402
kompatibilný
Injekcia Atracurium besylate 0.5 mg/ml
Injekcia Esmolol hydrochloride 10 mg/ml
5% glukóza 402
kompatibilný
Injekcia Atracurium besylate 10 mg/ml
parenterálna výživa (binárna zmes) 939
kompatibilný
Injekcia Atracurium besylate 10 mg/ml
Injekcia Etomidate 2 mg/ml
Žiadny 319
kompatibilný
Injekcia Atracurium besylate 0.5 mg/ml
Injekcia Fenoldopam mesylate 80 µg/ml
0,9% chlorid sodný 1803
kompatibilný
Injekcia Atracurium besylate 0.5 mg/ml
Injekcia Fentanyl citrate 10 µg/ml
5% glukóza 402
kompatibilný
Injekcia Atracurium besylate 0.5 mg/ml
Injekcia Gentamicin sulfate 2 mg/ml
5% glukóza 402
kompatibilný
Injekcia Atracurium besylate 0.5 mg/ml
Injekcia Heparin sodium 40 UI/ml
5% glukóza 402
kompatibilný
Injekcia Atracurium besylate 0.5 mg/ml
Injekcia Hetastarch 60 mg/ml
Špeciálne rozpúšťadlá 1721
kompatibilný
Injekcia Atracurium besylate 0.5 mg/ml
Injekcia Hydrocortisone sodium succinate 1 mg/ml
5% glukóza 402
kompatibilný
Injekcia Atracurium besylate 0.5 mg/ml
Injekcia Isoprenaline hydrochloride 0.004 mg/ml
5% glukóza 402
kompatibilný
Injekcia Atracurium besylate 0.5 mg/ml
Injekcia Lorazepam 0.5 mg/ml
5% glukóza 402
Nešpecifikovaná nekompatibilita nezlučiteľný
Injekcia Atracurium besylate
Injekcia Methohexital sodium
3676
kompatibilný
Injekcia Atracurium besylate 1 & 5 mg/ml
Injekcia Midazolam hydrochloride 0.1 & 0.5 mg/ml
5% glukóza 865
kompatibilný
Injekcia Atracurium besylate 0.5 mg/ml
Injekcia Midazolam hydrochloride 0.05 mg/ml
5% glukóza 402
kompatibilný
Injekcia Atracurium besylate 2 mg/ml
Injekcia Milrinone lactate 0.8 mg/ml
5% glukóza 813
kompatibilný
Injekcia Atracurium besylate 0.5 mg/ml
Injekcia Morphine sulfate 1 mg/ml
5% glukóza 402
kompatibilný
Injekcia Atracurium besylate 0.5 mg/ml
Injekcia Nitroglycerin 0.4 mg/ml
5% glukóza 402
kompatibilný
Injekcia Atracurium besylate 0.5 mg/ml
Injekcia Nitroprusside sodium 0.2 mg/ml
5% glukóza 402
Nešpecifikovaná nekompatibilita nezlučiteľný
Injekcia Atracurium besylate
Injekcia Pentobarbital sodium
3676
Nešpecifikovaná nekompatibilita nezlučiteľný
Injekcia Atracurium besylate
Injekcia Phenobarbital sodium
3676
Okamžitá nestabilita emulzie nezlučiteľný
Injekcia Atracurium besylate 10 mg/ml
Injekcia Propofol 10 mg/ml
Žiadny 300
Nestabilita emulzie po 1 hodine nezlučiteľný
Injekcia Atracurium besylate 10 mg/ml
Injekcia Propofol
660
Nešpecifikovaná nekompatibilita nezlučiteľný
Injekcia Atracurium besylate
Injekcia Propofol
3659
kompatibilný
Injekcia Atracurium besylate 10 mg/ml
Injekcia Propofol 2 mg/ml
Žiadny 319
Nešpecifikovaná nekompatibilita nezlučiteľný
Injekcia Atracurium besylate
Injekcia Propofol
3502
kompatibilný
Injekcia Atracurium besylate 0.5 mg/ml
Injekcia Ranitidine hydrochloride 0.5 mg/ml
5% glukóza 402
Nešpecifikovaná nekompatibilita nezlučiteľný
Injekcia Atracurium besylate
Injekcia Sodium bicarbonate
3629
Nešpecifikovaná nekompatibilita nezlučiteľný
Injekcia Atracurium besylate
Injekcia Sodium bicarbonate
3676
Okamžité zrážanie nezlučiteľný
Injekcia Atracurium besylate
Injekcia Thiopental sodium
3373
Nešpecifikovaná nekompatibilita nezlučiteľný
Injekcia Atracurium besylate
Injekcia Thiopental sodium
3629
Nešpecifikovaná nekompatibilita nezlučiteľný
Injekcia Atracurium besylate
Injekcia Thiopental sodium
3676
kompatibilný
Injekcia Atracurium besylate 0.2 mg/ml
Injekcia Valproic acid 2 & 20 mg/ml
0,9% chlorid sodný 4428
kompatibilný
Injekcia Atracurium besylate
0,9% chlorid sodný 3629
Okamžitá zákal nezlučiteľný
Injekcia Atracurium besylate 10 mg/ml
Injekcia Thiopental sodium 25 mg/ml
voda na injekciu 319
kompatibilný
Injekcia Atracurium besylate 0.2 mg/ml
Injekcia Valproic acid 2 & 20 mg/ml
5% glukóza 4428
kompatibilný
Injekcia Atracurium besylate 0.5 mg/ml
Injekcia Vancomycin hydrochloride 5 mg/ml
5% glukóza 402

  Mentions Légales