Poslední aktualizace :
27/04/2026
Kuraremimetický   Atracurium besylate  
injekce
Stabilita roztoků Stabilita směsí Faktory ovlivňující stabilitu Kompatibilita Způsoby aplikace Odkazy pdf
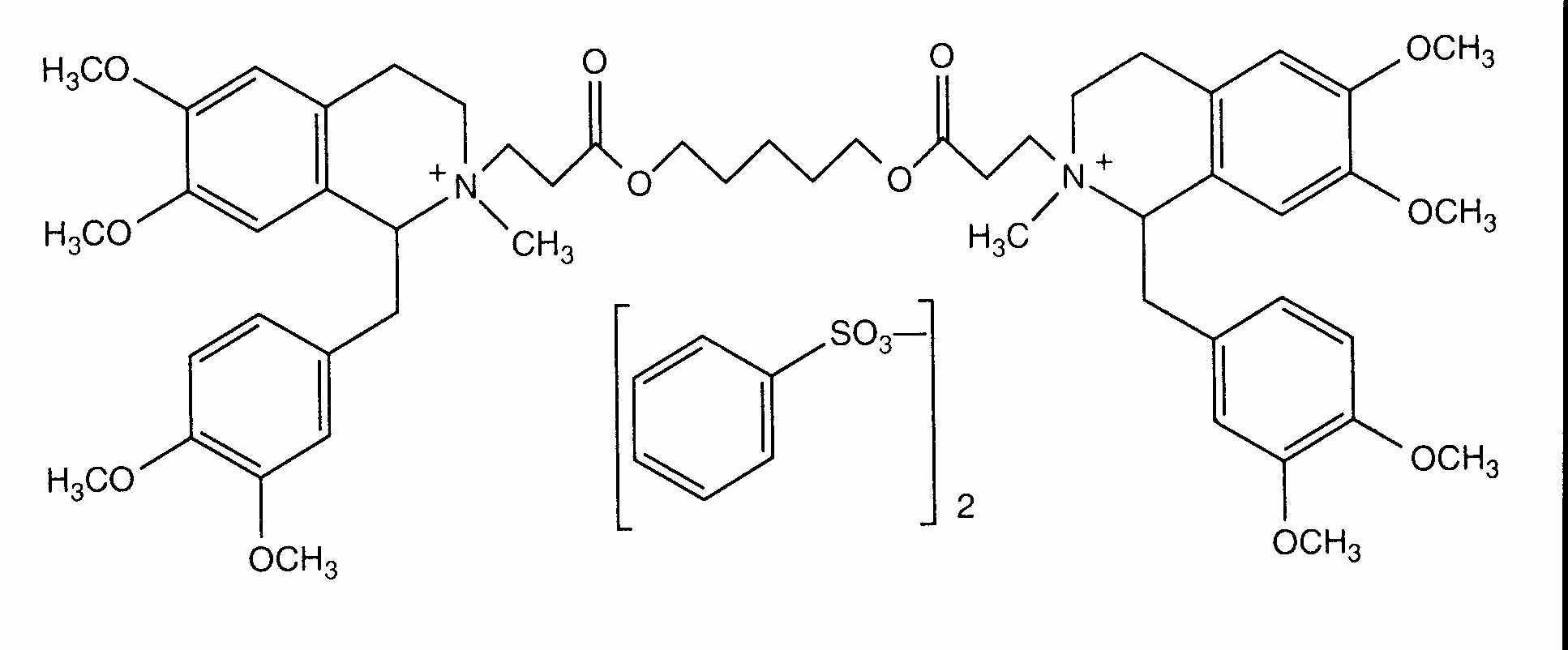
   Chemický vzorec  

Obchodní název   Obchodní název     

Trade names are indicative and excipients composition can be different depending on the country and manufacturers

Abbocurium Polsko
Acurmil Itálie
Ancour Írán
Anecur Írán
Atacur Saúdská Arábie
Atrabesylate Egypt
Atracurio äpanÏlsko, Argentina, BrazÌlie
Atracurio besilato Chile, Itálie, Peru, Venezuela
Atracurium Argentina, Egypt, Írán, Itálie, Malajsie, NÏmecko, Rakousko, Saúdská Arábie, Spojené arabské emiráty, Švédsko, Velká Británie
Atracurium besilat Rakousko
Atracurium besilate Austrálie, Egypt, Írán, Kanada, nový Zéland, Saúdská Arábie, Spojené arabské emiráty, USA
Atralex Malajsie
Atrasyl Turecko
Besilato Atracurio äpanÏlsko, Chile, Portugalsko
Faulcurium Egypt, Portugalsko
Gelolagar Argentina
Laurak äpanÏlsko
Neucurium Turecko
Notrixum Turecko
Relactrac Kolumbie
Relatrac Mexiko
Tracrium äpanÏlsko, Belgie, Chile, Egypt, Ekvádor, Francie, Írán, Irsko, Itálie, Kolumbie, Lucembursko, Malajsie, MaÔarsko, Maroko, Mexiko, NÏmecko, Nizozemsko, nový Zéland, Polsko, Portugalsko, Rakousko, Rumunsko, Saúdská Arábie, Slovinsko, Spojené arabské emiráty, Švýcarsko, Turecko, USA, Velká Británie, ÿecko
Tracumek Peru
Tracurix Argentina
Tracuron Argentina
Kompatibilita   injekce   Kompatibilita : Atracurium besylate              
Tato obrazovka ukazuje kompatibilitu nebo nekompatibilitu s, v tomto případě, typem nekompatibility (srážení, změna barvy, modifikace emulze atd.). Zde uvedené kompatibility jsou většinou pouze fyzikální, přičemž chemická stabilita každé molekuly je zřídka hodnocena. Hodnocení těchto směsí bylo studováno, aby se zvážila možnost podání Y-místa pacientovi. Tyto údaje nelze použít k přípravě směsí předem v pytlích nebo stříkačkách. Tento typ informací je k dispozici na obrazovce „Stabilita ve směsi“.
SlouËenina RozpouötÏdlo Odkazy
Nespecifikovaná nekompatibilita Nekompatibilní
injekce Atracurium besylate
injekce Amobarbital sodium
3676
Nekompatibilní
injekce Atracurium besylate 0.5 mg/ml
RingerŐs laktátový roztok 1093
Kompatibilní
injekce Atracurium besylate 0.5 mg/ml
injekce Aminophylline 1 mg/ml
GlukÛza 5% 402
Kompatibilní
injekce Atracurium besylate 5 mg/ml
injekce Amiodarone hydrochloride 6 mg/ml
GlukÛza 5% 1611
Kompatibilní
injekce Atracurium besylate 0.5 mg/ml
injekce Cefazolin sodium 10 mg/ml
GlukÛza 5% 402
Kompatibilní
injekce Atracurium besylate
GlukÛza 5% 3629
Kompatibilní
injekce Atracurium besylate 0.5 mg/ml
injekce Cefuroxime sodium 7.5 mg/ml
GlukÛza 5% 402
Kompatibilní
injekce Atracurium besylate 0.5 mg/ml
injekce Co-trimoxazole 3.2/0.64 mg/ml
GlukÛza 5% 402
Okamžité srážení Nekompatibilní
injekce Atracurium besylate 0.5 mg/ml
injekce Diazepam 5 mg/ml
GlukÛza 5% 402
Okamžité srážení Nekompatibilní
injekce Atracurium besylate
injekce Diclofenac
1647
Kompatibilní
injekce Atracurium besylate 0.5 mg/ml
injekce Dopamine hydrochloride 1.6 mg/ml
GlukÛza 5% 402
Nespecifikovaná nekompatibilita Nekompatibilní
injekce Atracurium besylate
NaHCO3 3676
Kompatibilní
injekce Atracurium besylate 0.5 mg/ml
injekce Cimetidine hydrochloride 6 mg/ml
GlukÛza 5% 402
Kompatibilní
injekce Atracurium besylate
injekce Dexmedetomidine
5042
Kompatibilní
injekce Atracurium besylate 0.5 mg/ml
injekce Dobutamine hydrochloride 1 mg/ml
GlukÛza 5% 402
Nespecifikovaná nekompatibilita Nekompatibilní
injekce Atracurium besylate
NaHCO3 3629
Kompatibilní
injekce Atracurium besylate 2 mg/ml
injekce Ciprofloxacin lactate 2 mg/ml
GlukÛza 5% 285
Kompatibilní
injekce Atracurium besylate 0.5 mg/ml
injekce Epinephrine hydrochloride 4 µg/ml
GlukÛza 5% 402
Kompatibilní
injekce Atracurium besylate 0.5 mg/ml
injekce Esmolol hydrochloride 10 mg/ml
GlukÛza 5% 402
Kompatibilní
injekce Atracurium besylate 10 mg/ml
Parenterální výživa (binární směs) 939
Kompatibilní
injekce Atracurium besylate 10 mg/ml
injekce Etomidate 2 mg/ml
Žádné 319
Kompatibilní
injekce Atracurium besylate 0.5 mg/ml
injekce Fenoldopam mesylate 80 µg/ml
Chlorid sodný 0,9% 1803
Kompatibilní
injekce Atracurium besylate 0.5 mg/ml
injekce Fentanyl citrate 10 µg/ml
GlukÛza 5% 402
Kompatibilní
injekce Atracurium besylate 0.5 mg/ml
injekce Gentamicin sulfate 2 mg/ml
GlukÛza 5% 402
Kompatibilní
injekce Atracurium besylate 0.5 mg/ml
injekce Heparin sodium 40 UI/ml
GlukÛza 5% 402
Kompatibilní
injekce Atracurium besylate 0.5 mg/ml
injekce Hetastarch 60 mg/ml
Zvláštní rozpouštědla 1721
Kompatibilní
injekce Atracurium besylate 0.5 mg/ml
injekce Hydrocortisone sodium succinate 1 mg/ml
GlukÛza 5% 402
Kompatibilní
injekce Atracurium besylate 0.5 mg/ml
injekce Isoprenaline hydrochloride 0.004 mg/ml
GlukÛza 5% 402
Kompatibilní
injekce Atracurium besylate 0.5 mg/ml
injekce Lorazepam 0.5 mg/ml
GlukÛza 5% 402
Nespecifikovaná nekompatibilita Nekompatibilní
injekce Atracurium besylate
injekce Methohexital sodium
3676
Kompatibilní
injekce Atracurium besylate 1 & 5 mg/ml
injekce Midazolam hydrochloride 0.1 & 0.5 mg/ml
GlukÛza 5% 865
Kompatibilní
injekce Atracurium besylate 0.5 mg/ml
injekce Midazolam hydrochloride 0.05 mg/ml
GlukÛza 5% 402
Kompatibilní
injekce Atracurium besylate 2 mg/ml
injekce Milrinone lactate 0.8 mg/ml
GlukÛza 5% 813
Kompatibilní
injekce Atracurium besylate 0.5 mg/ml
injekce Morphine sulfate 1 mg/ml
GlukÛza 5% 402
Kompatibilní
injekce Atracurium besylate 0.5 mg/ml
injekce Nitroglycerin 0.4 mg/ml
GlukÛza 5% 402
Kompatibilní
injekce Atracurium besylate 0.5 mg/ml
injekce Nitroprusside sodium 0.2 mg/ml
GlukÛza 5% 402
Nespecifikovaná nekompatibilita Nekompatibilní
injekce Atracurium besylate
injekce Pentobarbital sodium
3676
Nespecifikovaná nekompatibilita Nekompatibilní
injekce Atracurium besylate
injekce Phenobarbital sodium
3676
Okamžitá nestabilita emulze Nekompatibilní
injekce Atracurium besylate 10 mg/ml
injekce Propofol 10 mg/ml
Žádné 300
Nestabilita emulze po 1 hodině Nekompatibilní
injekce Atracurium besylate 10 mg/ml
injekce Propofol
660
Nespecifikovaná nekompatibilita Nekompatibilní
injekce Atracurium besylate
injekce Propofol
3659
Kompatibilní
injekce Atracurium besylate 10 mg/ml
injekce Propofol 2 mg/ml
Žádné 319
Nespecifikovaná nekompatibilita Nekompatibilní
injekce Atracurium besylate
injekce Propofol
3502
Kompatibilní
injekce Atracurium besylate 0.5 mg/ml
injekce Ranitidine hydrochloride 0.5 mg/ml
GlukÛza 5% 402
Nespecifikovaná nekompatibilita Nekompatibilní
injekce Atracurium besylate
injekce Sodium bicarbonate
3629
Nespecifikovaná nekompatibilita Nekompatibilní
injekce Atracurium besylate
injekce Sodium bicarbonate
3676
Okamžité srážení Nekompatibilní
injekce Atracurium besylate
injekce Thiopental sodium
3373
Nespecifikovaná nekompatibilita Nekompatibilní
injekce Atracurium besylate
injekce Thiopental sodium
3629
Nespecifikovaná nekompatibilita Nekompatibilní
injekce Atracurium besylate
injekce Thiopental sodium
3676
Kompatibilní
injekce Atracurium besylate 0.2 mg/ml
injekce Valproic acid 2 & 20 mg/ml
Chlorid sodný 0,9% 4428
Kompatibilní
injekce Atracurium besylate
Chlorid sodný 0,9% 3629
Okamžitá zákal Nekompatibilní
injekce Atracurium besylate 10 mg/ml
injekce Thiopental sodium 25 mg/ml
Voda pro injekci 319
Kompatibilní
injekce Atracurium besylate 0.2 mg/ml
injekce Valproic acid 2 & 20 mg/ml
GlukÛza 5% 4428
Kompatibilní
injekce Atracurium besylate 0.5 mg/ml
injekce Vancomycin hydrochloride 5 mg/ml
GlukÛza 5% 402

  Mentions Légales