Последнее обновление :
27/04/2026
Кураримиметик   Atracurium besylate  
Инъекция
Стабильность растворов Стабильность смесей Факторы, которые влияют на стабильность Совместимость Способы введения Библиография pdf
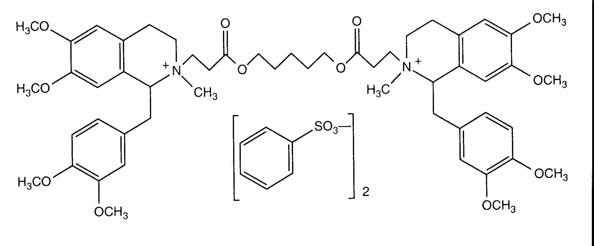
   Химическая структура  

Товарное название   Товарное название     

Trade names are indicative and excipients composition can be different depending on the country and manufacturers

Abbocurium Польша
Acurmil Италия
Ancour Иран
Anecur Иран
Atacur Саудовская Аравия
Atrabesylate Египет
Atracurio Аргентина, Бразилия, Испания
Atracurio besilato Венесуэла, Италия, Перу, чили
Atracurium Австрия, Аргентина, Великобритания, Германия, Египет, Иран, Италия, Малайзия, Объединенные Арабские Эмираты, Саудовская Аравия, Швеция
Atracurium besilat Австрия
Atracurium besilate Австралия, Египет, Иран, Канада, новая Зеландия, Объединенные Арабские Эмираты, Саудовская Аравия, Соединённые Штаты Америки
Atralex Малайзия
Atrasyl Турция
Besilato Atracurio Испания, Португалия, чили
Faulcurium Египет, Португалия
Gelolagar Аргентина
Laurak Испания
Neucurium Турция
Notrixum Турция
Relactrac Колумбия
Relatrac Мексика
Tracrium Австрия, Бельгия, Великобритания, Венгрия, Германия, Голландия, Греция, Египет, Иран, Ирландия, Испания, Италия, Колумбия, Люксембург, Малайзия, Марокко, Мексика, новая Зеландия, Объединенные Арабские Эмираты, Польша, Португалия, Румыния, Саудовская Аравия, Словения, Соединённые Штаты Америки, Турция, Франция, чили, Швейцария, Эквадор
Tracumek Перу
Tracurix Аргентина
Tracuron Аргентина
Совместимость   Инъекция   Совместимость : Atracurium besylate              
Эта таблица показывает совместимость или несовместимость препаратов, по возможности тип несовместимости (преципитат, смена цвета, разложение эмульсии и др.). Показанные здесь совместимости в основном физические, по возможности указана и химическая стабильность каждой молекулы. Анализ этих смесей произведён для исследования возможности ввести препараты пациенту в Y-соединении систем. Эти данные нельзя использовать, чтобы приготовить лекарства на будущее в мешках или шприцах. Эта информация доступна в разделе "Стабильность смесей".
Молекула Растворитель Ссылки
Неопределенная несовместимость несовместимый
Инъекция Atracurium besylate
Инъекция Amobarbital sodium
3676
несовместимый
Инъекция Atracurium besylate 0.5 mg/ml
Раствор Рингера лактата 1093
совместимый
Инъекция Atracurium besylate 0.5 mg/ml
Инъекция Aminophylline 1 mg/ml
Глюкоза 5% 402
совместимый
Инъекция Atracurium besylate 5 mg/ml
Инъекция Amiodarone hydrochloride 6 mg/ml
Глюкоза 5% 1611
совместимый
Инъекция Atracurium besylate 0.5 mg/ml
Инъекция Cefazolin sodium 10 mg/ml
Глюкоза 5% 402
совместимый
Инъекция Atracurium besylate
Глюкоза 5% 3629
совместимый
Инъекция Atracurium besylate 0.5 mg/ml
Инъекция Cefuroxime sodium 7.5 mg/ml
Глюкоза 5% 402
совместимый
Инъекция Atracurium besylate 0.5 mg/ml
Инъекция Co-trimoxazole 3.2/0.64 mg/ml
Глюкоза 5% 402
Немедленные осадки несовместимый
Инъекция Atracurium besylate 0.5 mg/ml
Инъекция Diazepam 5 mg/ml
Глюкоза 5% 402
Немедленные осадки несовместимый
Инъекция Atracurium besylate
Инъекция Diclofenac
1647
совместимый
Инъекция Atracurium besylate 0.5 mg/ml
Инъекция Dopamine hydrochloride 1.6 mg/ml
Глюкоза 5% 402
Неопределенная несовместимость несовместимый
Инъекция Atracurium besylate
NaHCO3 3676
совместимый
Инъекция Atracurium besylate 0.5 mg/ml
Инъекция Cimetidine hydrochloride 6 mg/ml
Глюкоза 5% 402
совместимый
Инъекция Atracurium besylate
Инъекция Dexmedetomidine
5042
совместимый
Инъекция Atracurium besylate 0.5 mg/ml
Инъекция Dobutamine hydrochloride 1 mg/ml
Глюкоза 5% 402
Неопределенная несовместимость несовместимый
Инъекция Atracurium besylate
NaHCO3 3629
совместимый
Инъекция Atracurium besylate 2 mg/ml
Инъекция Ciprofloxacin lactate 2 mg/ml
Глюкоза 5% 285
совместимый
Инъекция Atracurium besylate 0.5 mg/ml
Инъекция Epinephrine hydrochloride 4 µg/ml
Глюкоза 5% 402
совместимый
Инъекция Atracurium besylate 0.5 mg/ml
Инъекция Esmolol hydrochloride 10 mg/ml
Глюкоза 5% 402
совместимый
Инъекция Atracurium besylate 10 mg/ml
Парентеральное питание (бинарная смесь) 939
совместимый
Инъекция Atracurium besylate 10 mg/ml
Инъекция Etomidate 2 mg/ml
Нет 319
совместимый
Инъекция Atracurium besylate 0.5 mg/ml
Инъекция Fenoldopam mesylate 80 µg/ml
Натрия хлорид 0,9% 1803
совместимый
Инъекция Atracurium besylate 0.5 mg/ml
Инъекция Fentanyl citrate 10 µg/ml
Глюкоза 5% 402
совместимый
Инъекция Atracurium besylate 0.5 mg/ml
Инъекция Gentamicin sulfate 2 mg/ml
Глюкоза 5% 402
совместимый
Инъекция Atracurium besylate 0.5 mg/ml
Инъекция Heparin sodium 40 UI/ml
Глюкоза 5% 402
совместимый
Инъекция Atracurium besylate 0.5 mg/ml
Инъекция Hetastarch 60 mg/ml
Конкретные растворителя 1721
совместимый
Инъекция Atracurium besylate 0.5 mg/ml
Инъекция Hydrocortisone sodium succinate 1 mg/ml
Глюкоза 5% 402
совместимый
Инъекция Atracurium besylate 0.5 mg/ml
Инъекция Isoprenaline hydrochloride 0.004 mg/ml
Глюкоза 5% 402
совместимый
Инъекция Atracurium besylate 0.5 mg/ml
Инъекция Lorazepam 0.5 mg/ml
Глюкоза 5% 402
Неопределенная несовместимость несовместимый
Инъекция Atracurium besylate
Инъекция Methohexital sodium
3676
совместимый
Инъекция Atracurium besylate 1 & 5 mg/ml
Инъекция Midazolam hydrochloride 0.1 & 0.5 mg/ml
Глюкоза 5% 865
совместимый
Инъекция Atracurium besylate 0.5 mg/ml
Инъекция Midazolam hydrochloride 0.05 mg/ml
Глюкоза 5% 402
совместимый
Инъекция Atracurium besylate 2 mg/ml
Инъекция Milrinone lactate 0.8 mg/ml
Глюкоза 5% 813
совместимый
Инъекция Atracurium besylate 0.5 mg/ml
Инъекция Morphine sulfate 1 mg/ml
Глюкоза 5% 402
совместимый
Инъекция Atracurium besylate 0.5 mg/ml
Инъекция Nitroglycerin 0.4 mg/ml
Глюкоза 5% 402
совместимый
Инъекция Atracurium besylate 0.5 mg/ml
Инъекция Nitroprusside sodium 0.2 mg/ml
Глюкоза 5% 402
Неопределенная несовместимость несовместимый
Инъекция Atracurium besylate
Инъекция Pentobarbital sodium
3676
Неопределенная несовместимость несовместимый
Инъекция Atracurium besylate
Инъекция Phenobarbital sodium
3676
Немедленная нестабильность эмульсии несовместимый
Инъекция Atracurium besylate 10 mg/ml
Инъекция Propofol 10 mg/ml
Нет 300
Нестабильность эмульсии через 1 час. несовместимый
Инъекция Atracurium besylate 10 mg/ml
Инъекция Propofol
660
Неопределенная несовместимость несовместимый
Инъекция Atracurium besylate
Инъекция Propofol
3659
совместимый
Инъекция Atracurium besylate 10 mg/ml
Инъекция Propofol 2 mg/ml
Нет 319
Неопределенная несовместимость несовместимый
Инъекция Atracurium besylate
Инъекция Propofol
3502
совместимый
Инъекция Atracurium besylate 0.5 mg/ml
Инъекция Ranitidine hydrochloride 0.5 mg/ml
Глюкоза 5% 402
Неопределенная несовместимость несовместимый
Инъекция Atracurium besylate
Инъекция Sodium bicarbonate
3629
Неопределенная несовместимость несовместимый
Инъекция Atracurium besylate
Инъекция Sodium bicarbonate
3676
Немедленные осадки несовместимый
Инъекция Atracurium besylate
Инъекция Thiopental sodium
3373
Неопределенная несовместимость несовместимый
Инъекция Atracurium besylate
Инъекция Thiopental sodium
3629
Неопределенная несовместимость несовместимый
Инъекция Atracurium besylate
Инъекция Thiopental sodium
3676
совместимый
Инъекция Atracurium besylate 0.2 mg/ml
Инъекция Valproic acid 2 & 20 mg/ml
Натрия хлорид 0,9% 4428
совместимый
Инъекция Atracurium besylate
Натрия хлорид 0,9% 3629
Немедленная мутность несовместимый
Инъекция Atracurium besylate 10 mg/ml
Инъекция Thiopental sodium 25 mg/ml
Вода для инъекций 319
совместимый
Инъекция Atracurium besylate 0.2 mg/ml
Инъекция Valproic acid 2 & 20 mg/ml
Глюкоза 5% 4428
совместимый
Инъекция Atracurium besylate 0.5 mg/ml
Инъекция Vancomycin hydrochloride 5 mg/ml
Глюкоза 5% 402

  Mentions Légales