Ostatnia aktualizacja :
27/04/2026
Lek kuraropodobny   Atracurium besylate  
Injekcje
Trwałość roztworów Trwałość w mieszaninie Czynnik wpływający na trwałość Zgodność Sposób podania Bibliografia pdf
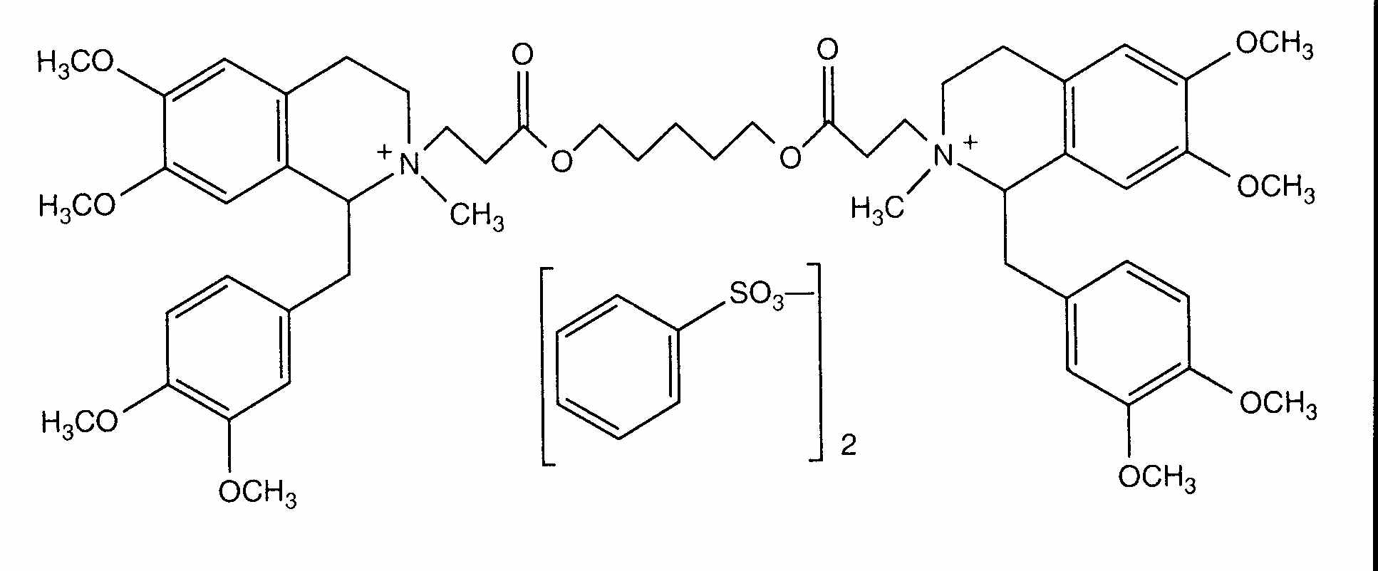
   Struktura chemiczna  

Nazwa handlowa   Nazwa handlowa     

Trade names are indicative and excipients composition can be different depending on the country and manufacturers

Abbocurium Polska
Acurmil Włochy
Ancour Iran
Anecur Iran
Atacur Arabia Saudyjska
Atrabesylate Egipt
Atracurio Argentyna, Brazylia, Hiszpania
Atracurio besilato Chile, Peru, Wenezuela, Włochy
Atracurium Arabia Saudyjska, Argentyna, Austria, Egipt, Iran, Malezja, Niemcy, Szwecja, Wielka Brytania, Włochy, Zjednoczone Emiraty Arabskie
Atracurium besilat Austria
Atracurium besilate Arabia Saudyjska, Australia, Egipt, Iran, Kanada, nowa Zelandia, Stany Zjednoczone Ameryki, Zjednoczone Emiraty Arabskie
Atralex Malezja
Atrasyl Turcja
Besilato Atracurio Chile, Hiszpania, Portugalia
Faulcurium Egipt, Portugalia
Gelolagar Argentyna
Laurak Hiszpania
Neucurium Turcja
Notrixum Turcja
Relactrac KolumbiaKolumbia
Relatrac Meksyk
Tracrium Arabia Saudyjska, Austria, Belgia, Chile, Egipt, Ekwador, Francja , Grecja, Hiszpania, Holandia, Iran, Irlandia, KolumbiaKolumbia, Luksemburg, Malezja, Maroko, Meksyk, Niemcy, nowa Zelandia, Polska, Portugalia, Rumunia, Stany Zjednoczone Ameryki, Szwajcaria, Słowenia, Turcja, Węgry, Wielka Brytania, Włochy, Zjednoczone Emiraty Arabskie
Tracumek Peru
Tracurix Argentyna
Tracuron Argentyna
Zgodność   Injekcje   Zgodność : Atracurium besylate              
Ekran ten wskazuje na kompatybilności lub niezgodności z, w tym przypadku, rodzajem niezgodności (strącanie, zmiana koloru, modyfikacja emulsji, itp.). Przedstawione tutaj kompatybilności są głównie fizyczne, a stabilność chemiczna każdej cząsteczki jest rzadko oceniana. Ocenę tych mieszanin badano w celu rozważenia możliwości podania pacjentowi w miejscu Y. Dane te nie mogą być wykorzystywane do sporządzania mieszanin z wyprzedzeniem w workach lub strzykawkach. Tego typu informacje są dostępne na ekranie „Stabilność w mieszaninie”.
Związek Rozpuszczalnik Bibliografia
Nieokreślona niezgodność Niekompatybilny
Injekcje Atracurium besylate
Injekcje Amobarbital sodium
3676
Niekompatybilny
Injekcje Atracurium besylate 0.5 mg/ml
Roztwór Ringera z mleczanem sodowym 1093
Zgodny
Injekcje Atracurium besylate 0.5 mg/ml
Injekcje Aminophylline 1 mg/ml
Glukoza 5% 402
Zgodny
Injekcje Atracurium besylate 5 mg/ml
Injekcje Amiodarone hydrochloride 6 mg/ml
Glukoza 5% 1611
Zgodny
Injekcje Atracurium besylate 0.5 mg/ml
Injekcje Cefazolin sodium 10 mg/ml
Glukoza 5% 402
Zgodny
Injekcje Atracurium besylate
Glukoza 5% 3629
Zgodny
Injekcje Atracurium besylate 0.5 mg/ml
Injekcje Cefuroxime sodium 7.5 mg/ml
Glukoza 5% 402
Zgodny
Injekcje Atracurium besylate 0.5 mg/ml
Injekcje Co-trimoxazole 3.2/0.64 mg/ml
Glukoza 5% 402
Natychmiastowe opady Niekompatybilny
Injekcje Atracurium besylate 0.5 mg/ml
Injekcje Diazepam 5 mg/ml
Glukoza 5% 402
Natychmiastowe opady Niekompatybilny
Injekcje Atracurium besylate
Injekcje Diclofenac
1647
Zgodny
Injekcje Atracurium besylate 0.5 mg/ml
Injekcje Dopamine hydrochloride 1.6 mg/ml
Glukoza 5% 402
Nieokreślona niezgodność Niekompatybilny
Injekcje Atracurium besylate
NaHCO3 3676
Zgodny
Injekcje Atracurium besylate 0.5 mg/ml
Injekcje Cimetidine hydrochloride 6 mg/ml
Glukoza 5% 402
Zgodny
Injekcje Atracurium besylate
Injekcje Dexmedetomidine
5042
Zgodny
Injekcje Atracurium besylate 0.5 mg/ml
Injekcje Dobutamine hydrochloride 1 mg/ml
Glukoza 5% 402
Nieokreślona niezgodność Niekompatybilny
Injekcje Atracurium besylate
NaHCO3 3629
Zgodny
Injekcje Atracurium besylate 2 mg/ml
Injekcje Ciprofloxacin lactate 2 mg/ml
Glukoza 5% 285
Zgodny
Injekcje Atracurium besylate 0.5 mg/ml
Injekcje Epinephrine hydrochloride 4 µg/ml
Glukoza 5% 402
Zgodny
Injekcje Atracurium besylate 0.5 mg/ml
Injekcje Esmolol hydrochloride 10 mg/ml
Glukoza 5% 402
Zgodny
Injekcje Atracurium besylate 10 mg/ml
Odżywianie pozajelitowe (mieszanina binarny) 939
Zgodny
Injekcje Atracurium besylate 10 mg/ml
Injekcje Etomidate 2 mg/ml
Żaden 319
Zgodny
Injekcje Atracurium besylate 0.5 mg/ml
Injekcje Fenoldopam mesylate 80 µg/ml
Chlorek sodu 0,9% 1803
Zgodny
Injekcje Atracurium besylate 0.5 mg/ml
Injekcje Fentanyl citrate 10 µg/ml
Glukoza 5% 402
Zgodny
Injekcje Atracurium besylate 0.5 mg/ml
Injekcje Gentamicin sulfate 2 mg/ml
Glukoza 5% 402
Zgodny
Injekcje Atracurium besylate 0.5 mg/ml
Injekcje Heparin sodium 40 UI/ml
Glukoza 5% 402
Zgodny
Injekcje Atracurium besylate 0.5 mg/ml
Injekcje Hetastarch 60 mg/ml
danego rozpuszczalnika 1721
Zgodny
Injekcje Atracurium besylate 0.5 mg/ml
Injekcje Hydrocortisone sodium succinate 1 mg/ml
Glukoza 5% 402
Zgodny
Injekcje Atracurium besylate 0.5 mg/ml
Injekcje Isoprenaline hydrochloride 0.004 mg/ml
Glukoza 5% 402
Zgodny
Injekcje Atracurium besylate 0.5 mg/ml
Injekcje Lorazepam 0.5 mg/ml
Glukoza 5% 402
Nieokreślona niezgodność Niekompatybilny
Injekcje Atracurium besylate
Injekcje Methohexital sodium
3676
Zgodny
Injekcje Atracurium besylate 1 & 5 mg/ml
Injekcje Midazolam hydrochloride 0.1 & 0.5 mg/ml
Glukoza 5% 865
Zgodny
Injekcje Atracurium besylate 0.5 mg/ml
Injekcje Midazolam hydrochloride 0.05 mg/ml
Glukoza 5% 402
Zgodny
Injekcje Atracurium besylate 2 mg/ml
Injekcje Milrinone lactate 0.8 mg/ml
Glukoza 5% 813
Zgodny
Injekcje Atracurium besylate 0.5 mg/ml
Injekcje Morphine sulfate 1 mg/ml
Glukoza 5% 402
Zgodny
Injekcje Atracurium besylate 0.5 mg/ml
Injekcje Nitroglycerin 0.4 mg/ml
Glukoza 5% 402
Zgodny
Injekcje Atracurium besylate 0.5 mg/ml
Injekcje Nitroprusside sodium 0.2 mg/ml
Glukoza 5% 402
Nieokreślona niezgodność Niekompatybilny
Injekcje Atracurium besylate
Injekcje Pentobarbital sodium
3676
Nieokreślona niezgodność Niekompatybilny
Injekcje Atracurium besylate
Injekcje Phenobarbital sodium
3676
Natychmiastowa niestabilność emulsji Niekompatybilny
Injekcje Atracurium besylate 10 mg/ml
Injekcje Propofol 10 mg/ml
Żaden 300
Niestabilność emulsji po 1 godzinie Niekompatybilny
Injekcje Atracurium besylate 10 mg/ml
Injekcje Propofol
660
Nieokreślona niezgodność Niekompatybilny
Injekcje Atracurium besylate
Injekcje Propofol
3659
Zgodny
Injekcje Atracurium besylate 10 mg/ml
Injekcje Propofol 2 mg/ml
Żaden 319
Nieokreślona niezgodność Niekompatybilny
Injekcje Atracurium besylate
Injekcje Propofol
3502
Zgodny
Injekcje Atracurium besylate 0.5 mg/ml
Injekcje Ranitidine hydrochloride 0.5 mg/ml
Glukoza 5% 402
Nieokreślona niezgodność Niekompatybilny
Injekcje Atracurium besylate
Injekcje Sodium bicarbonate
3629
Nieokreślona niezgodność Niekompatybilny
Injekcje Atracurium besylate
Injekcje Sodium bicarbonate
3676
Natychmiastowe opady Niekompatybilny
Injekcje Atracurium besylate
Injekcje Thiopental sodium
3373
Nieokreślona niezgodność Niekompatybilny
Injekcje Atracurium besylate
Injekcje Thiopental sodium
3629
Nieokreślona niezgodność Niekompatybilny
Injekcje Atracurium besylate
Injekcje Thiopental sodium
3676
Zgodny
Injekcje Atracurium besylate 0.2 mg/ml
Injekcje Valproic acid 2 & 20 mg/ml
Chlorek sodu 0,9% 4428
Zgodny
Injekcje Atracurium besylate
Chlorek sodu 0,9% 3629
Natychmiastowe zmętnienie Niekompatybilny
Injekcje Atracurium besylate 10 mg/ml
Injekcje Thiopental sodium 25 mg/ml
Woda do wstrzyknięć 319
Zgodny
Injekcje Atracurium besylate 0.2 mg/ml
Injekcje Valproic acid 2 & 20 mg/ml
Glukoza 5% 4428
Zgodny
Injekcje Atracurium besylate 0.5 mg/ml
Injekcje Vancomycin hydrochloride 5 mg/ml
Glukoza 5% 402

  Mentions Légales