Τελευταία ενημέρωση :
27/04/2026
Κουραριομιμητικό   Atracurium besylate  
Ενέσιμο
Σταθερότητα διαλυμάτων Σταθερότητα σε μίγματα Παράγοντας που επηρεάζει τη σταθερότητα Συμβατότητες Τρόπος χορήγησης Βιβλιογραφία pdf
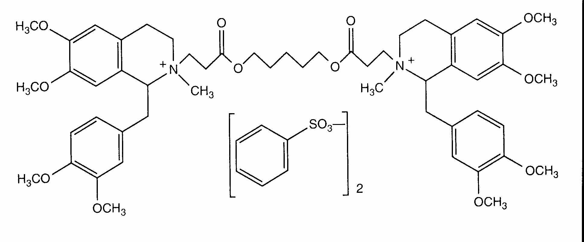
   χημική δομή  

Εμπορική ονομασία   Εμπορική ονομασία     

Οι εμπορικές ονομασίες είναι ενδεικτικές και η σύνθεση των εκδόχων μπορεί να διαφέρει ανάλογα με τη χώρα και τα εργαστήρια

Abbocurium Πολωνία
Acurmil Ιταλία
Ancour Ιράν
Anecur Ιράν
Atacur Σαουδική Αραβία
Atrabesylate Αίγυπτος
Atracurio Αργεντινή, Βραζιλία, Ισπανία
Atracurio besilato Βενεζουέλα, Ιταλία, Περού, Χιλή
Atracurium Yhdistyneet arabiemiirikunnat, Αίγυπτος, Αργεντινή, Αυστρία, Γερμανία, Ιράν, Ιταλία, Μαλαισία, Μεγάλη Βρετανία, Σαουδική Αραβία, Σουηδία
Atracurium besilat Αυστρία
Atracurium besilate Yhdistyneet arabiemiirikunnat, Αίγυπτος, Αυστραλία, Η.Π.Α., Ιράν, Καναδάς, νέα Ζηλανδία, Σαουδική Αραβία
Atralex Μαλαισία
Atrasyl Τουρκία
Besilato Atracurio Ισπανία, Πορτογαλία, Χιλή
Faulcurium Αίγυπτος, Πορτογαλία
Gelolagar Αργεντινή
Laurak Ισπανία
Neucurium Τουρκία
Notrixum Τουρκία
Relactrac Κολομβία
Relatrac Μεξικό
Tracrium Yhdistyneet arabiemiirikunnat, Αίγυπτος, Αυστρία, Βέλγιο, Γαλλία, Γερμανία, Εκουαδόρ, Ελβετία, Ελλάδα, Η.Π.Α., Ιράν, Ιρλανδία, Ισπανία, Ιταλία, Κολομβία, Λουξεμβούργο, Μαλαισία, Μαρόκο, Μεγάλη Βρετανία, Μεξικό, νέα Ζηλανδία, Ολλανδία, Ουγγαρία, Πολωνία, Πορτογαλία, Ρουμανία, Σαουδική Αραβία, Σλοβενία, Τουρκία, Χιλή
Tracumek Περού
Tracurix Αργεντινή
Tracuron Αργεντινή
Συμβατότητες    Ενέσιμο   Συμβατότητες : Atracurium besylate              
Σε αυτή την οθόνη εμφανίζονται οι συμβατότητες ή ασυμβατότητες. Σε αυτή την περίπτωση εμφανίζονται το είδος της ασυμβατότητας (ίζημα, αλλαγή χρώματος, μεταβολή γαλακτώματος, κλπ). Οι συμβατότητες που παρουσιάζονται εδώ είναι κυρίως φυσικές, ενώ η χημική σταθερότητα κάθε μορίου σπάνια περιλαμβάνεται. Η αξιολόγηση αυτών των μιγμάτων μελετήθηκε προκειμένου να εκτιμηθεί η πιθανότητα χορήγησης στον ασθενή στο Υ κέντρο. Τα δεδομένα αυτά δεν μπορούν να χρησιμοποιηθούν για την εκ των προτέρων δημιουργία μιγμάτων σε ασκούς ή σύριγγες. Αυτό το είδος πληροφορίας υπάρχει και μπορεί να αναζητηθεί στην οθόνη «Σταθερότητα σε μίγμα».
Συστατικό Διαλυτικό Βιβλιογραφία
Απροσδιόριστη ασυμβατότητα Ασύμβατες
Ενέσιμο Atracurium besylate
Ενέσιμο Amobarbital sodium
3676
Ασύμβατες
Ενέσιμο Atracurium besylate 0.5 mg/ml
Γαλακτικό διάλυμα Ringer 1093
Σύμφωνος
Ενέσιμο Atracurium besylate 0.5 mg/ml
Ενέσιμο Aminophylline 1 mg/ml
Γλυκόζη 5% 402
Σύμφωνος
Ενέσιμο Atracurium besylate 5 mg/ml
Ενέσιμο Amiodarone hydrochloride 6 mg/ml
Γλυκόζη 5% 1611
Σύμφωνος
Ενέσιμο Atracurium besylate 0.5 mg/ml
Ενέσιμο Cefazolin sodium 10 mg/ml
Γλυκόζη 5% 402
Σύμφωνος
Ενέσιμο Atracurium besylate
Γλυκόζη 5% 3629
Σύμφωνος
Ενέσιμο Atracurium besylate 0.5 mg/ml
Ενέσιμο Cefuroxime sodium 7.5 mg/ml
Γλυκόζη 5% 402
Σύμφωνος
Ενέσιμο Atracurium besylate 0.5 mg/ml
Ενέσιμο Co-trimoxazole 3.2/0.64 mg/ml
Γλυκόζη 5% 402
Άμεση βροχόπτωση Ασύμβατες
Ενέσιμο Atracurium besylate 0.5 mg/ml
Ενέσιμο Diazepam 5 mg/ml
Γλυκόζη 5% 402
Άμεση βροχόπτωση Ασύμβατες
Ενέσιμο Atracurium besylate
Ενέσιμο Diclofenac
1647
Σύμφωνος
Ενέσιμο Atracurium besylate 0.5 mg/ml
Ενέσιμο Dopamine hydrochloride 1.6 mg/ml
Γλυκόζη 5% 402
Απροσδιόριστη ασυμβατότητα Ασύμβατες
Ενέσιμο Atracurium besylate
NaHCO3 3676
Σύμφωνος
Ενέσιμο Atracurium besylate 0.5 mg/ml
Ενέσιμο Cimetidine hydrochloride 6 mg/ml
Γλυκόζη 5% 402
Σύμφωνος
Ενέσιμο Atracurium besylate
Ενέσιμο Dexmedetomidine
5042
Σύμφωνος
Ενέσιμο Atracurium besylate 0.5 mg/ml
Ενέσιμο Dobutamine hydrochloride 1 mg/ml
Γλυκόζη 5% 402
Απροσδιόριστη ασυμβατότητα Ασύμβατες
Ενέσιμο Atracurium besylate
NaHCO3 3629
Σύμφωνος
Ενέσιμο Atracurium besylate 2 mg/ml
Ενέσιμο Ciprofloxacin lactate 2 mg/ml
Γλυκόζη 5% 285
Σύμφωνος
Ενέσιμο Atracurium besylate 0.5 mg/ml
Ενέσιμο Epinephrine hydrochloride 4 µg/ml
Γλυκόζη 5% 402
Σύμφωνος
Ενέσιμο Atracurium besylate 0.5 mg/ml
Ενέσιμο Esmolol hydrochloride 10 mg/ml
Γλυκόζη 5% 402
Σύμφωνος
Ενέσιμο Atracurium besylate 10 mg/ml
Παρεντερική  θρέψη (ελεύθερο λιπιδίων) 939
Σύμφωνος
Ενέσιμο Atracurium besylate 10 mg/ml
Ενέσιμο Etomidate 2 mg/ml
Ουδέν 319
Σύμφωνος
Ενέσιμο Atracurium besylate 0.5 mg/ml
Ενέσιμο Fenoldopam mesylate 80 µg/ml
Χλωριούχο νάτριο 0,9% 1803
Σύμφωνος
Ενέσιμο Atracurium besylate 0.5 mg/ml
Ενέσιμο Fentanyl citrate 10 µg/ml
Γλυκόζη 5% 402
Σύμφωνος
Ενέσιμο Atracurium besylate 0.5 mg/ml
Ενέσιμο Gentamicin sulfate 2 mg/ml
Γλυκόζη 5% 402
Σύμφωνος
Ενέσιμο Atracurium besylate 0.5 mg/ml
Ενέσιμο Heparin sodium 40 UI/ml
Γλυκόζη 5% 402
Σύμφωνος
Ενέσιμο Atracurium besylate 0.5 mg/ml
Ενέσιμο Hetastarch 60 mg/ml
Ειδικά διαλύτη 1721
Σύμφωνος
Ενέσιμο Atracurium besylate 0.5 mg/ml
Ενέσιμο Hydrocortisone sodium succinate 1 mg/ml
Γλυκόζη 5% 402
Σύμφωνος
Ενέσιμο Atracurium besylate 0.5 mg/ml
Ενέσιμο Isoprenaline hydrochloride 0.004 mg/ml
Γλυκόζη 5% 402
Σύμφωνος
Ενέσιμο Atracurium besylate 0.5 mg/ml
Ενέσιμο Lorazepam 0.5 mg/ml
Γλυκόζη 5% 402
Απροσδιόριστη ασυμβατότητα Ασύμβατες
Ενέσιμο Atracurium besylate
Ενέσιμο Methohexital sodium
3676
Σύμφωνος
Ενέσιμο Atracurium besylate 1 & 5 mg/ml
Ενέσιμο Midazolam hydrochloride 0.1 & 0.5 mg/ml
Γλυκόζη 5% 865
Σύμφωνος
Ενέσιμο Atracurium besylate 0.5 mg/ml
Ενέσιμο Midazolam hydrochloride 0.05 mg/ml
Γλυκόζη 5% 402
Σύμφωνος
Ενέσιμο Atracurium besylate 2 mg/ml
Ενέσιμο Milrinone lactate 0.8 mg/ml
Γλυκόζη 5% 813
Σύμφωνος
Ενέσιμο Atracurium besylate 0.5 mg/ml
Ενέσιμο Morphine sulfate 1 mg/ml
Γλυκόζη 5% 402
Σύμφωνος
Ενέσιμο Atracurium besylate 0.5 mg/ml
Ενέσιμο Nitroglycerin 0.4 mg/ml
Γλυκόζη 5% 402
Σύμφωνος
Ενέσιμο Atracurium besylate 0.5 mg/ml
Ενέσιμο Nitroprusside sodium 0.2 mg/ml
Γλυκόζη 5% 402
Απροσδιόριστη ασυμβατότητα Ασύμβατες
Ενέσιμο Atracurium besylate
Ενέσιμο Pentobarbital sodium
3676
Απροσδιόριστη ασυμβατότητα Ασύμβατες
Ενέσιμο Atracurium besylate
Ενέσιμο Phenobarbital sodium
3676
Άμεση αστάθεια του γαλακτώματος Ασύμβατες
Ενέσιμο Atracurium besylate 10 mg/ml
Ενέσιμο Propofol 10 mg/ml
Ουδέν 300
Αστάθεια του γαλακτώματος μετά από 1 ώρα Ασύμβατες
Ενέσιμο Atracurium besylate 10 mg/ml
Ενέσιμο Propofol
660
Απροσδιόριστη ασυμβατότητα Ασύμβατες
Ενέσιμο Atracurium besylate
Ενέσιμο Propofol
3659
Σύμφωνος
Ενέσιμο Atracurium besylate 10 mg/ml
Ενέσιμο Propofol 2 mg/ml
Ουδέν 319
Απροσδιόριστη ασυμβατότητα Ασύμβατες
Ενέσιμο Atracurium besylate
Ενέσιμο Propofol
3502
Σύμφωνος
Ενέσιμο Atracurium besylate 0.5 mg/ml
Ενέσιμο Ranitidine hydrochloride 0.5 mg/ml
Γλυκόζη 5% 402
Απροσδιόριστη ασυμβατότητα Ασύμβατες
Ενέσιμο Atracurium besylate
Ενέσιμο Sodium bicarbonate
3629
Απροσδιόριστη ασυμβατότητα Ασύμβατες
Ενέσιμο Atracurium besylate
Ενέσιμο Sodium bicarbonate
3676
Άμεση βροχόπτωση Ασύμβατες
Ενέσιμο Atracurium besylate
Ενέσιμο Thiopental sodium
3373
Απροσδιόριστη ασυμβατότητα Ασύμβατες
Ενέσιμο Atracurium besylate
Ενέσιμο Thiopental sodium
3629
Απροσδιόριστη ασυμβατότητα Ασύμβατες
Ενέσιμο Atracurium besylate
Ενέσιμο Thiopental sodium
3676
Σύμφωνος
Ενέσιμο Atracurium besylate 0.2 mg/ml
Ενέσιμο Valproic acid 2 & 20 mg/ml
Χλωριούχο νάτριο 0,9% 4428
Σύμφωνος
Ενέσιμο Atracurium besylate
Χλωριούχο νάτριο 0,9% 3629
Άμεση θολότητα Ασύμβατες
Ενέσιμο Atracurium besylate 10 mg/ml
Ενέσιμο Thiopental sodium 25 mg/ml
Ενέσιμο ύδωρ 319
Σύμφωνος
Ενέσιμο Atracurium besylate 0.2 mg/ml
Ενέσιμο Valproic acid 2 & 20 mg/ml
Γλυκόζη 5% 4428
Σύμφωνος
Ενέσιμο Atracurium besylate 0.5 mg/ml
Ενέσιμο Vancomycin hydrochloride 5 mg/ml
Γλυκόζη 5% 402

  Mentions Légales