Останнє оновлення :
27/01/2026
Протирвотний засіб   Prochlorperazine edysilate  
краплі в ніс
ін'єкція
Стабільність фармацевтичних препаратів Стійкість сумішей Фактори, що впливають на стабільність Сумісність Список літератури pdf
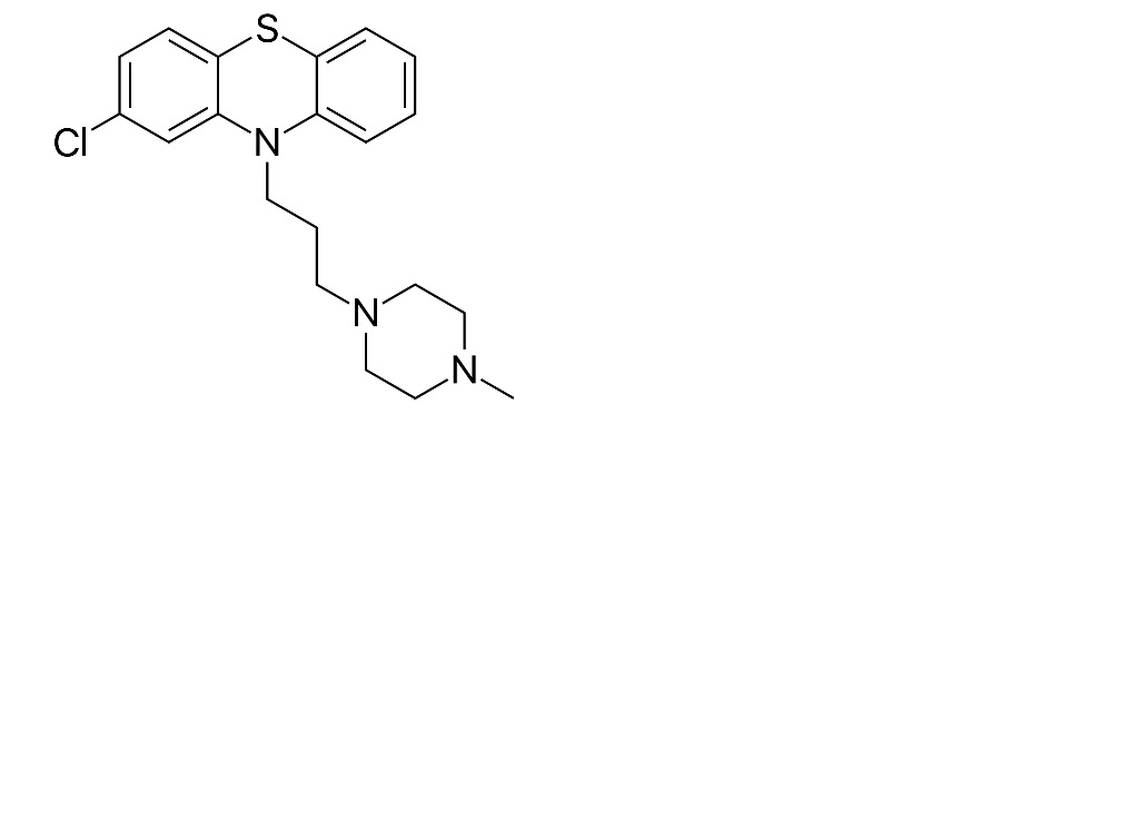
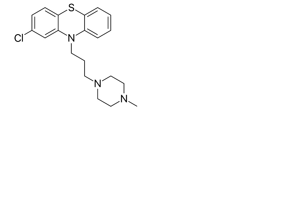
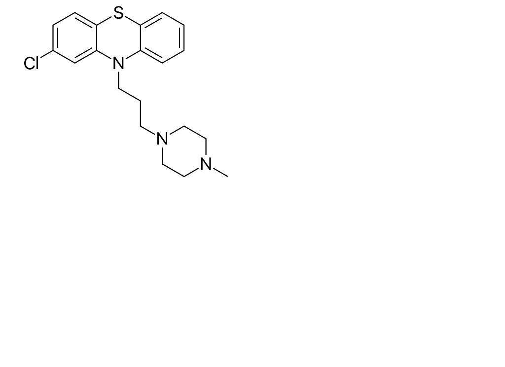
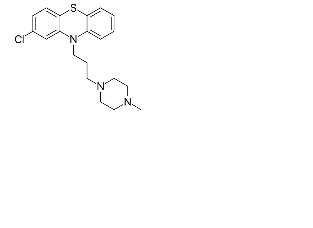
   Хімічна структура  

краплі в ніс
Сумісність   краплі в ніс   Сумісність : Prochlorperazine edysilate              
7 / 5 000 Résultats de traduction Немає даних

  Mentions Légales