最新更新 :
27/01/2026
止吐药   Prochlorperazine edysilate  
鼻腔喷剂
注射液
制剂的稳定性 混合物稳定性 影响稳定性的因素 兼容性 引用文献 PDF
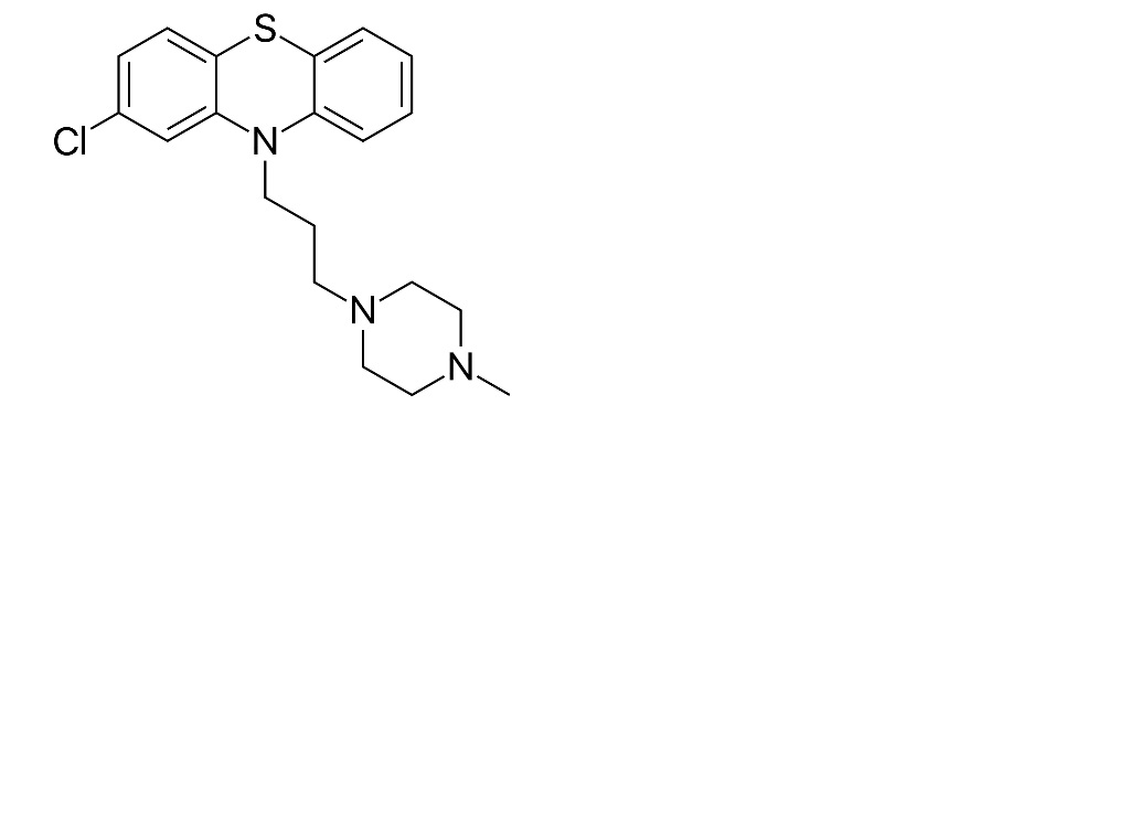
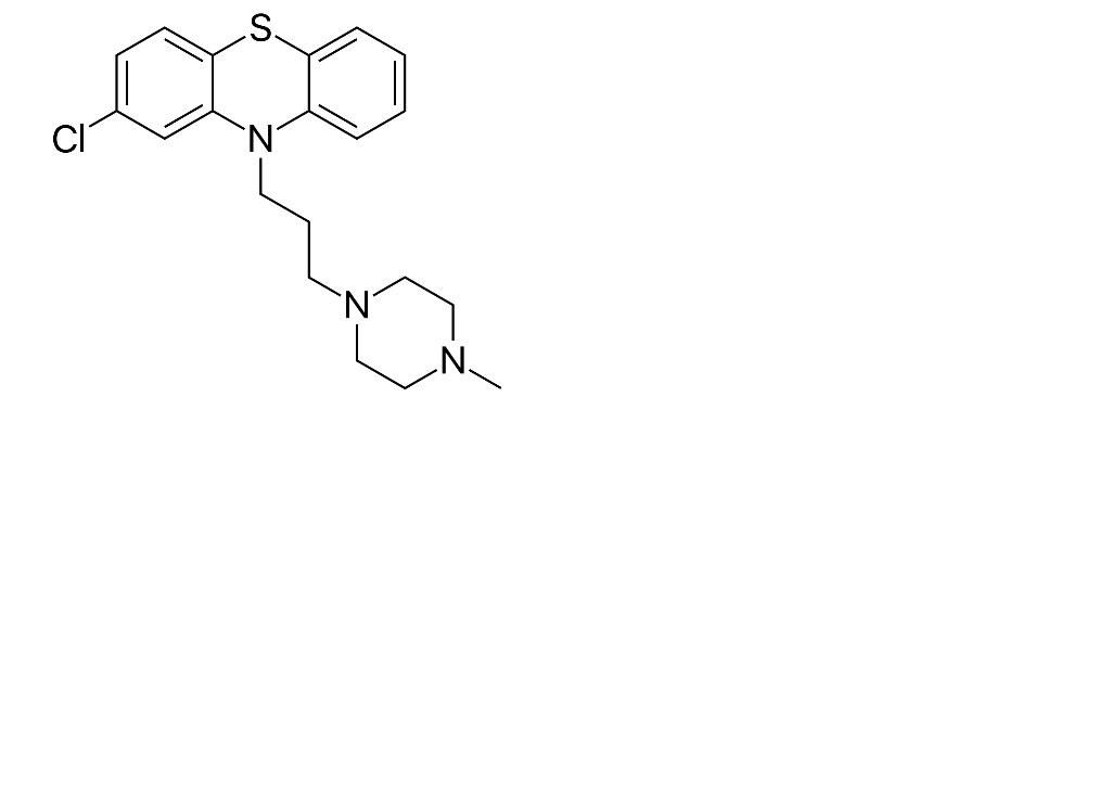
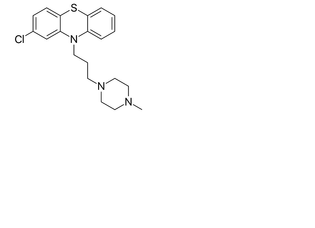
   化学式  

鼻腔喷剂
兼容性   鼻腔喷剂   兼容性 : Prochlorperazine edysilate              
无数据

  Mentions Légales