Última actualización :
27/01/2026
Antiemético   Prochlorperazine edysilate  
Gotas nasales
Inyectables
La estabilidad de las preparaciones farmacéuticas Estabilidad en mezcla Factores que influyen sobre la estabilidad Compatibilidades Bibliografía pdf
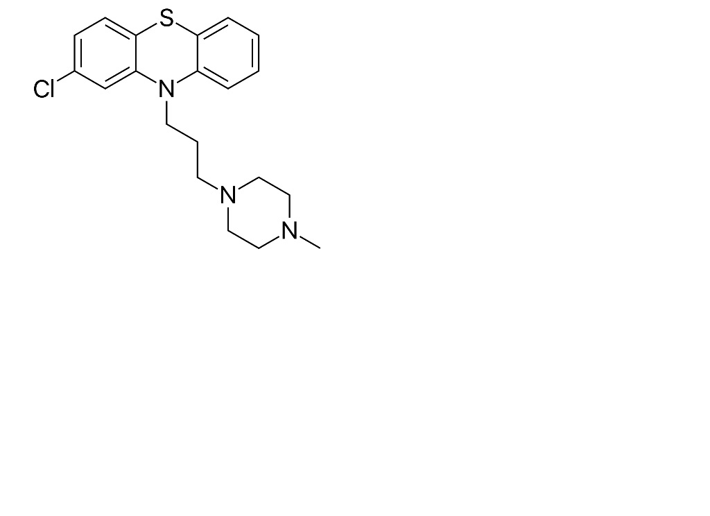
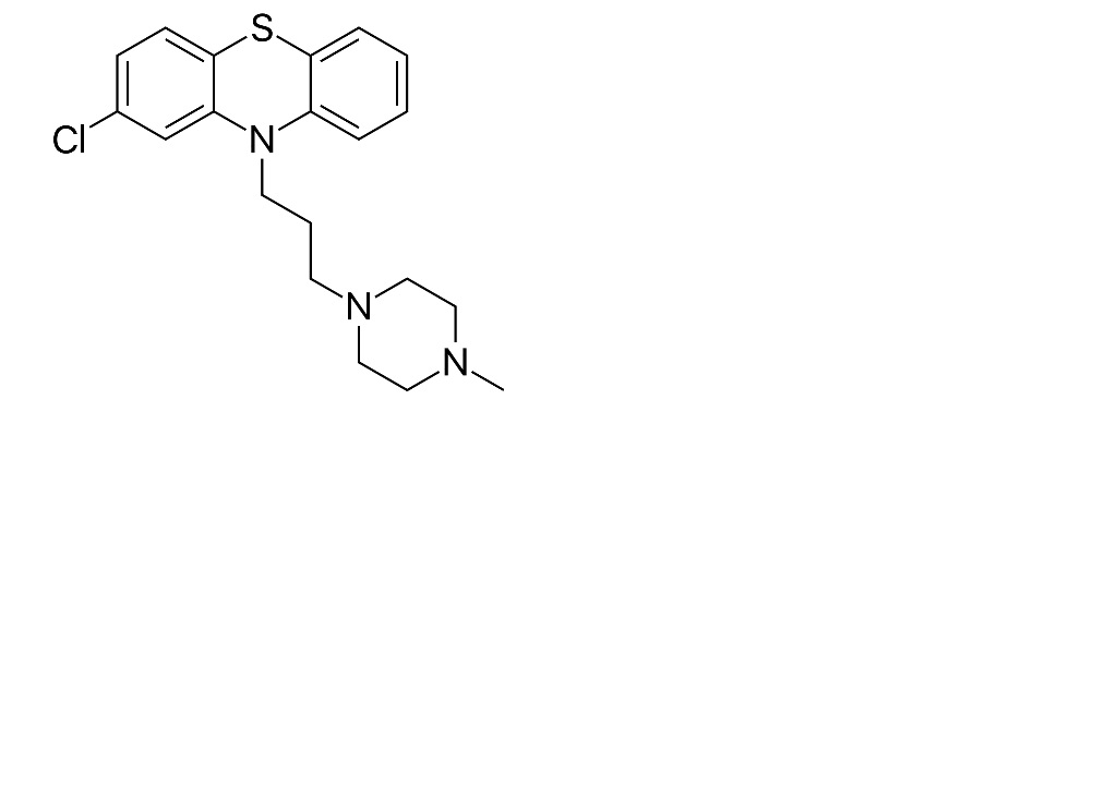
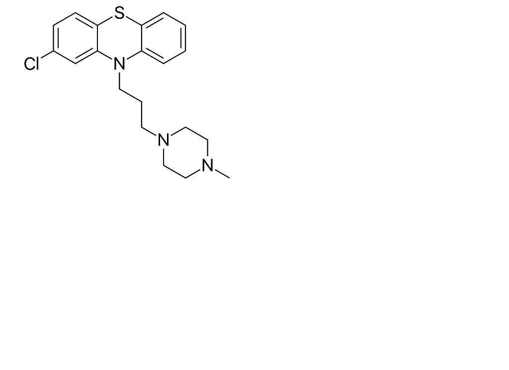
   Estructura química  

Gotas nasales
Compatibilidades   Gotas nasales   Compatibilidades : Prochlorperazine edysilate              
Ausencia de datos

  Mentions Légales