Ultimele actualizari :
27/01/2026
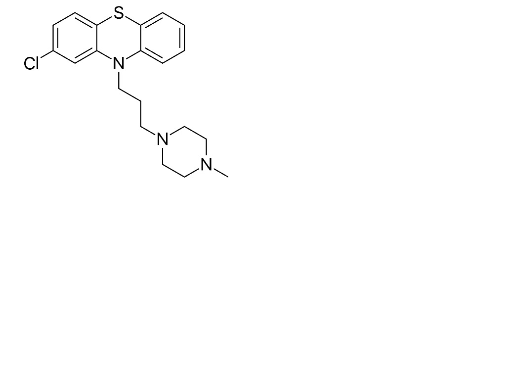
Antiemetic   Prochlorperazine edysilate  
Picaturi pentru nas
Injectabil
Stabilitatea preparatelor farmaceutice Stabilitatea in amestec Factorii care influenteaza stabilitatea Compatibilitate Bibliografie pdf
   Formula chimica  

Picaturi pentru nas
Compatibilitate   Picaturi pentru nas   Compatibilitate : Prochlorperazine edysilate              
Absenta de date

  Mentions Légales