Zadnji put ažurirano :
27/01/2026
antiemetik   Prochlorperazine edysilate  
kapi za nos
injekcija
Stabilnost farmaceutskih pripravaka Stabilnost mješavine Stabilizacijski faktor Kompatibilnosti Bibliografija pdf
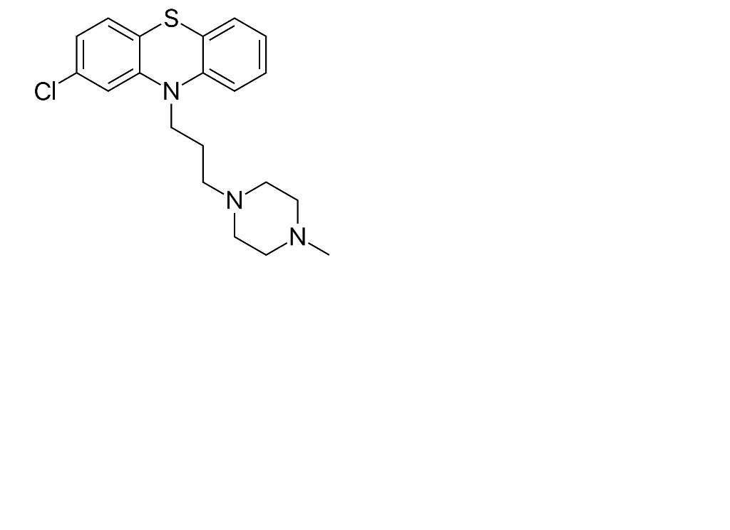
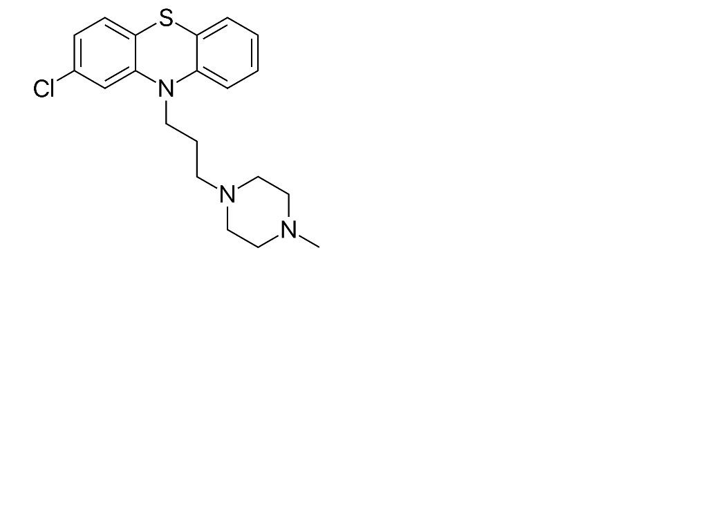
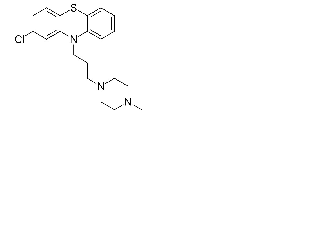
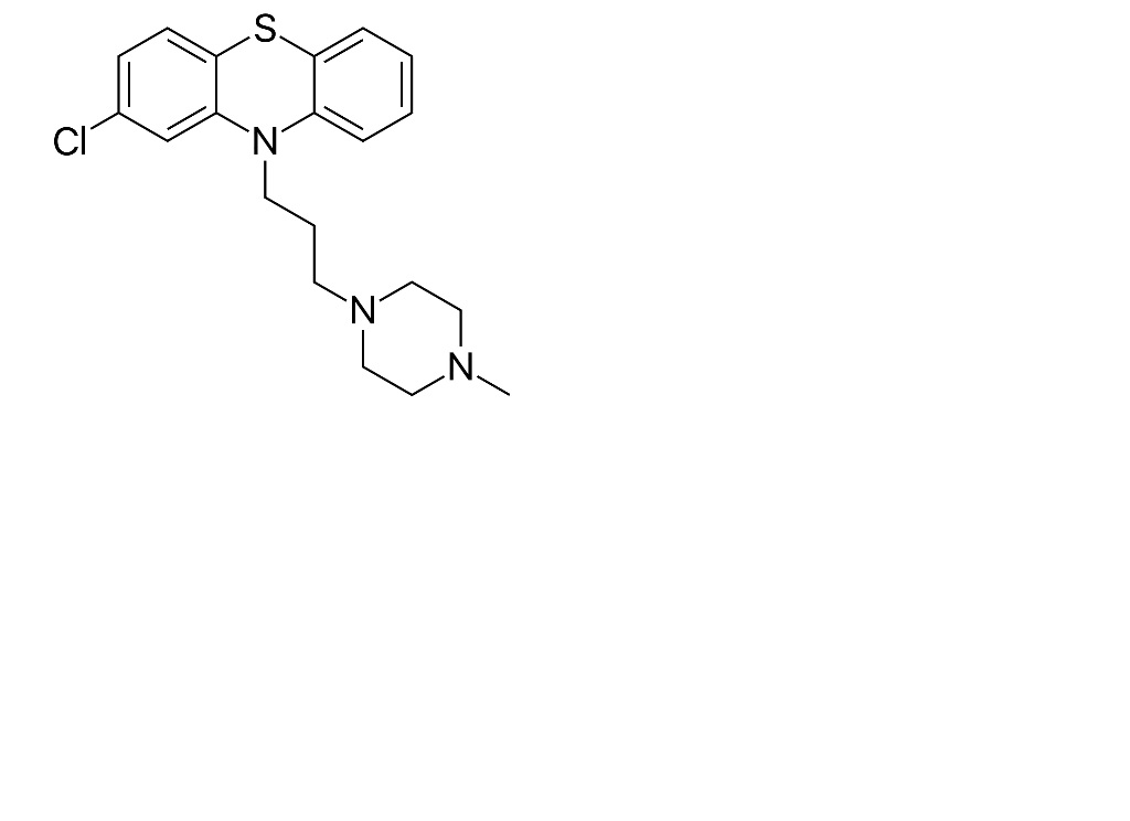
   Kemijska struktura  

kapi za nos
Kompatibilnosti   kapi za nos   Kompatibilnosti : Prochlorperazine edysilate              
bez podataka

  Mentions Légales