Posledná aktualizácia :
27/01/2026
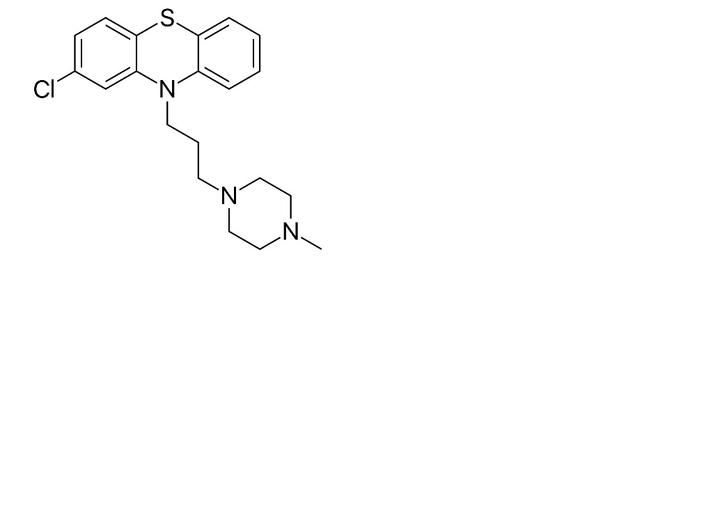
antiemetikum   Prochlorperazine edysilate  
Nosová instilácia
Injekcia
Stabilita farmaceutických prípravkov Stabilita v zmesiach Faktory ovplyvňujúce stabilitu Kompatibility Odkazy na literatúru PDF
   Chemický vzorec  

Nosová instilácia
Kompatibility   Nosová instilácia   Kompatibility : Prochlorperazine edysilate              
žiadne údaje

  Mentions Légales