Pēdējā atjaunošana :
27/01/2026
Pretvemšanas līdzeklis   Prochlorperazine edysilate  
Deguna pilieni
Injekcija
Stabilitāte farmaceitisko preparātu Maisījuma stabilitāte Stabilitāti ietekmējoši faktori Saderība Literatūras saraksts pdf
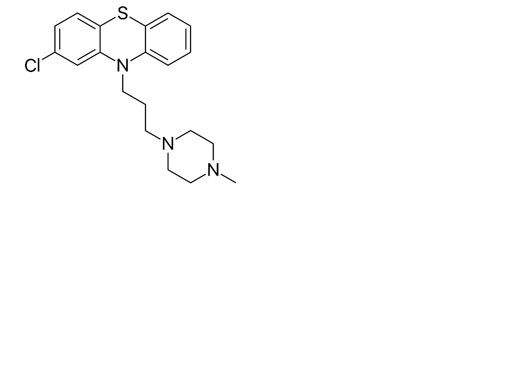
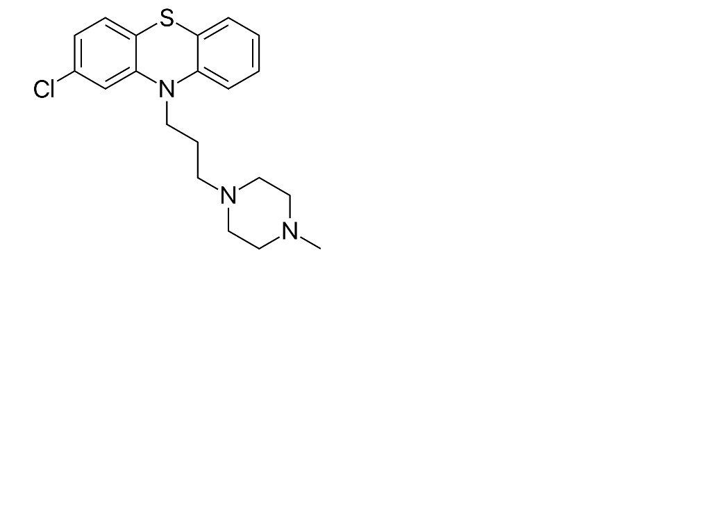
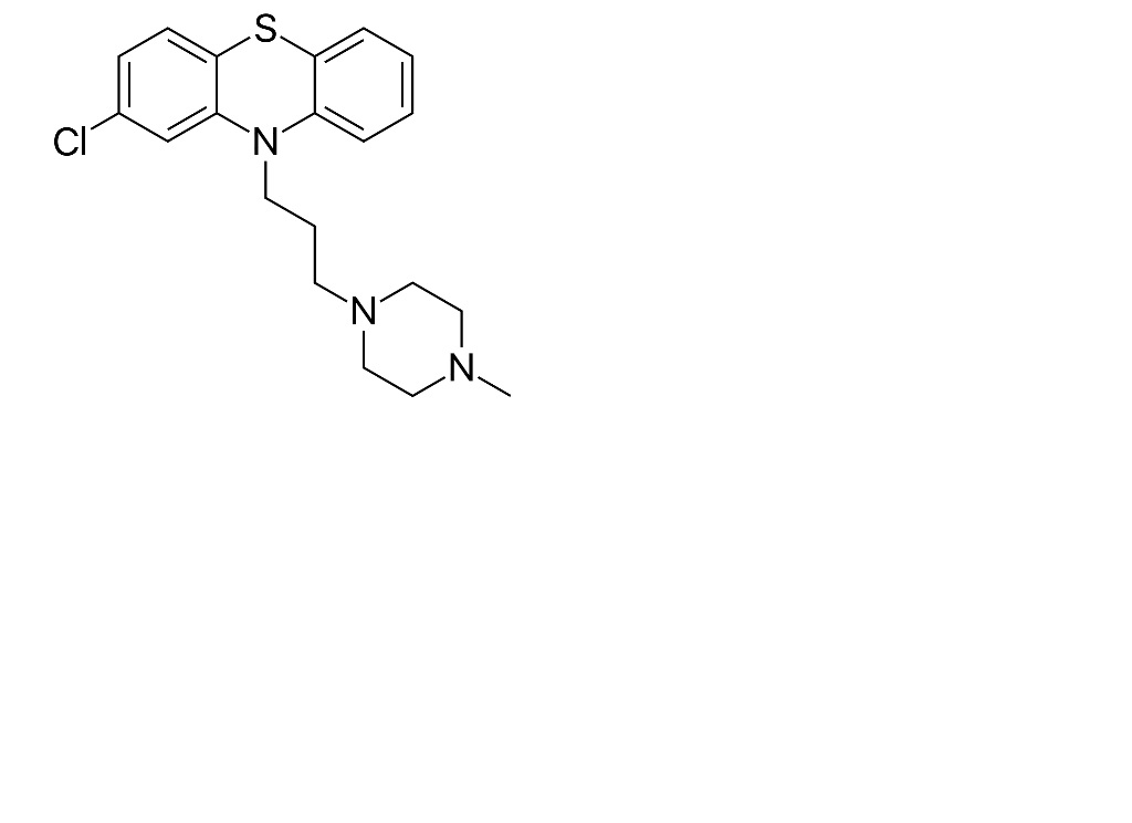
   Ķīmiskā uzbūve   

Deguna pilieni
Saderība   Deguna pilieni   Saderība : Prochlorperazine edysilate              
Nav datu

  Mentions Légales