viimane versioon :
27/01/2026
antiemeetikum   Prochlorperazine edysilate  
ninatilgad
Süsteravim
Stabiilsust ravimpreparaadid Stabiilsust mõjutavad tegurid stabiilsust mõjutavad faktorid Sobimatus Viited pdf
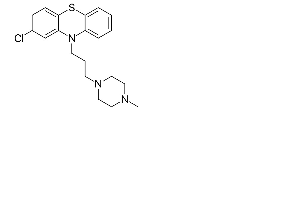
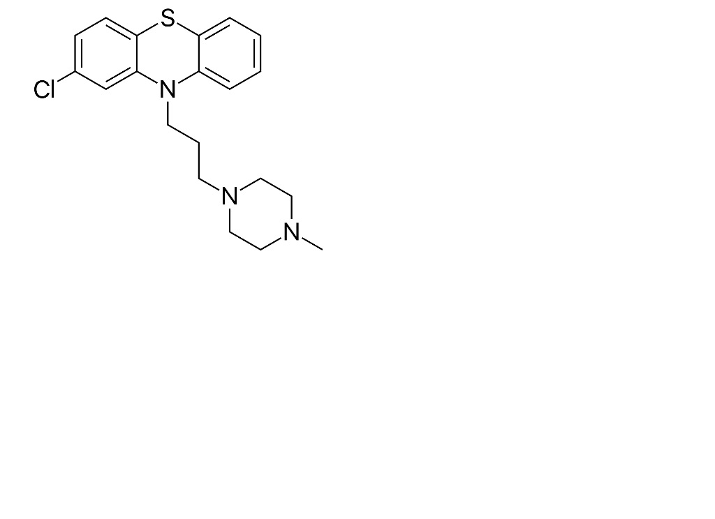
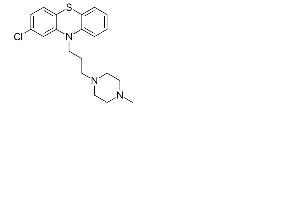
   keemiline struktuur  

ninatilgad
Sobimatus   ninatilgad   Sobimatus : Prochlorperazine edysilate              
andmed puuduvad

  Mentions Légales