Senaste uppdateringen :
27/01/2026
Antiemetikum   Prochlorperazine edysilate  
Näsdroppar
injektion
Stabilitet av läkemedel Stabilitet i blandningar Faktorer som påverkar stabiliteten Kompatibilitet Hänvisningar pdf
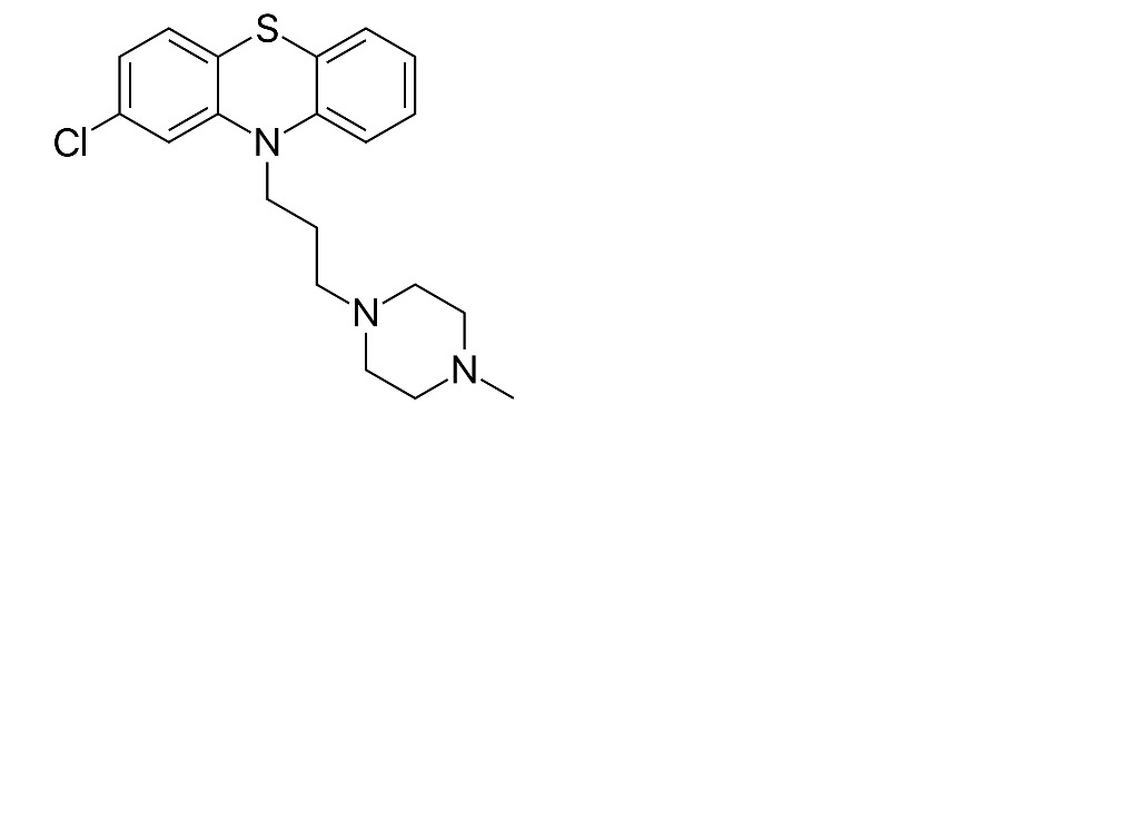
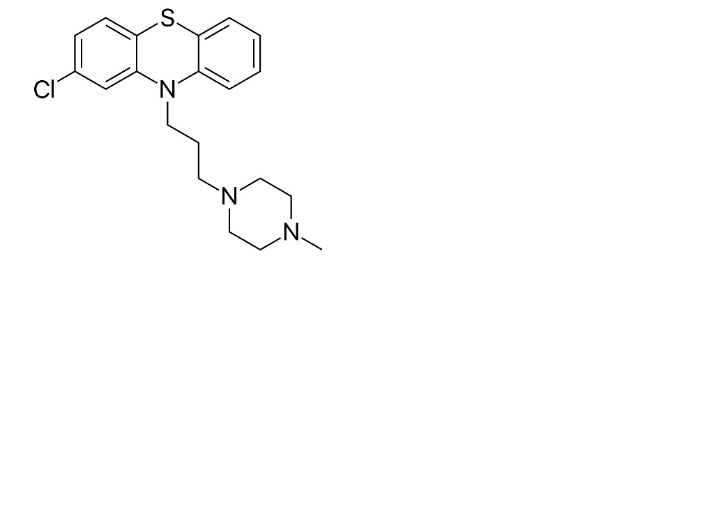
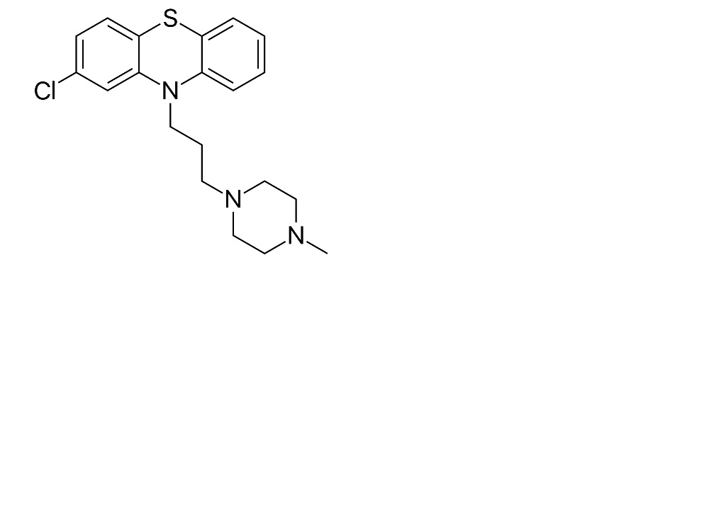
   Molekylstruktur  

Näsdroppar
Kompatibilitet   Näsdroppar   Kompatibilitet : Prochlorperazine edysilate              
Ingen uppgift

  Mentions Légales