Ostatnia aktualizacja :
27/01/2026
środek przeciwwymiotny   Prochlorperazine edysilate  
Krople do nosa
Injekcje
Stabilność preparatów farmaceutycznych Trwałość w mieszaninie Czynnik wpływający na trwałość Zgodność Bibliografia pdf
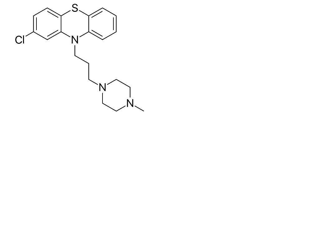
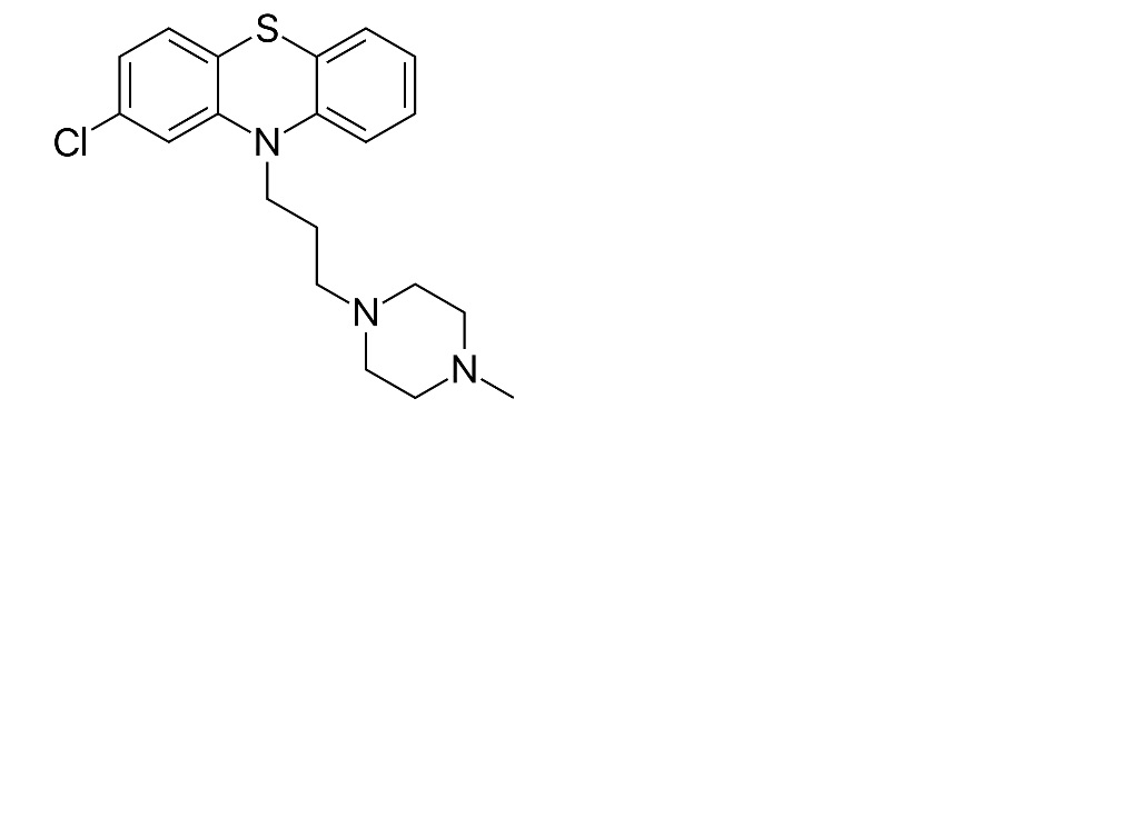
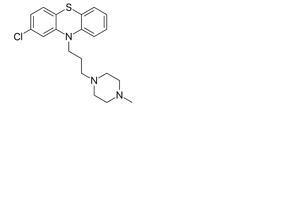
   Struktura chemiczna  

Krople do nosa
Zgodność   Krople do nosa   Zgodność : Prochlorperazine edysilate              
Brak danych

  Mentions Légales