Ultimo aggiornamento :
27/01/2026
Antiemetico   Prochlorperazine edysilate  
gocce nasali
Iniezione
Stabilità dei preparati farmaceutici Stabilità in miscela Fattori che influenzano la stabilità Compatibilità Bibliografia pdf
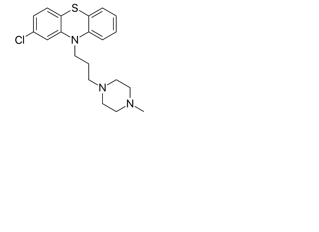
   Struttura chimica  

gocce nasali
Compatibilità   gocce nasali   Compatibilità : Prochlorperazine edysilate              
Assenza di dati

  Mentions Légales