آخر تحديث :
27/01/2026
مضاد للقىء   Prochlorperazine edysilate  
قطرات الأنف
حقن
استقرار المستحضرات الصيدلانية استقرار مخاليط العوامل التي تؤثر على الاستقرار التوافق مراجع pdf
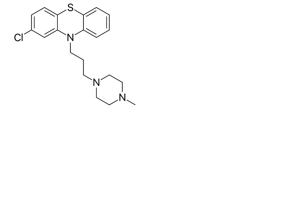
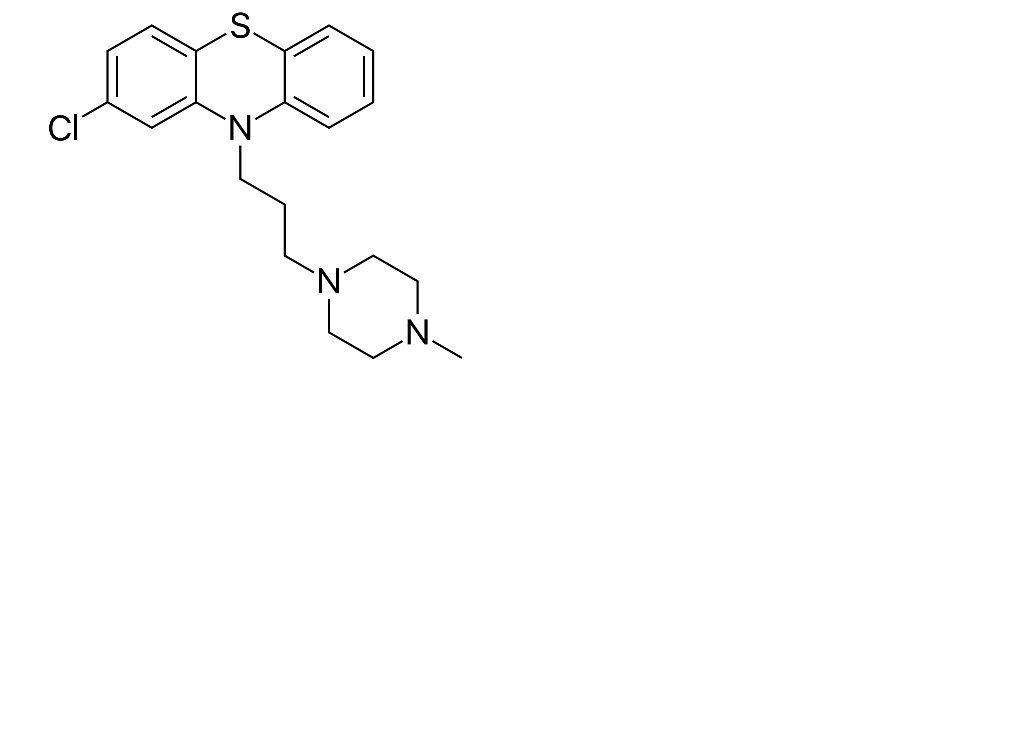
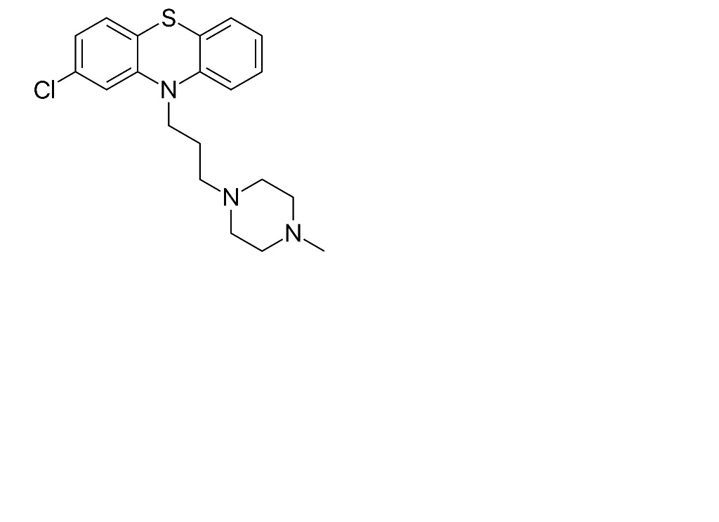
   التركيب الكيميائي  

قطرات الأنف
التوافق   قطرات الأنف   التوافق : Prochlorperazine edysilate              
لا توجد بيانات

  Mentions Légales