Последно актуализиране :
27/01/2026
Антиеметик   Prochlorperazine edysilate  
Капки за нос
Инжекция/Инжекционен
Стабилност на лекарствени препарати Стабилност на смеси Фактори, повлияващи стабилността Съвместимост Библиография Pdf
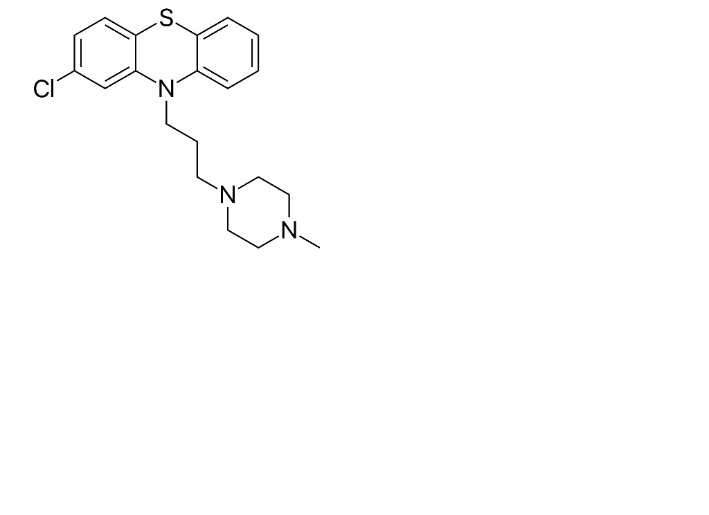
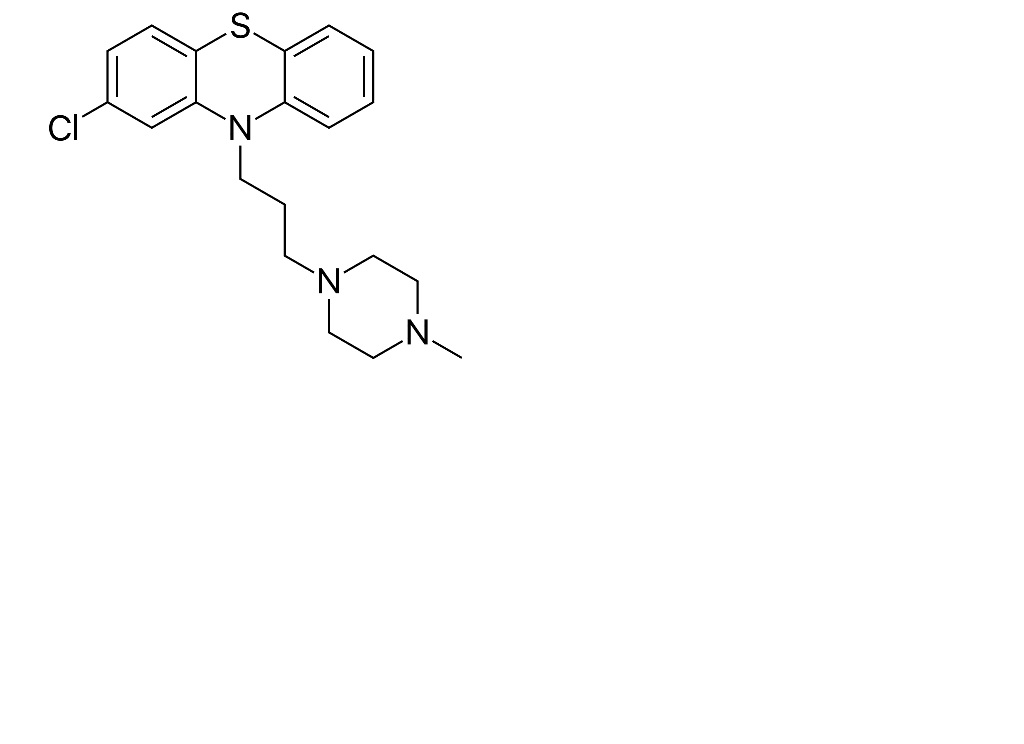
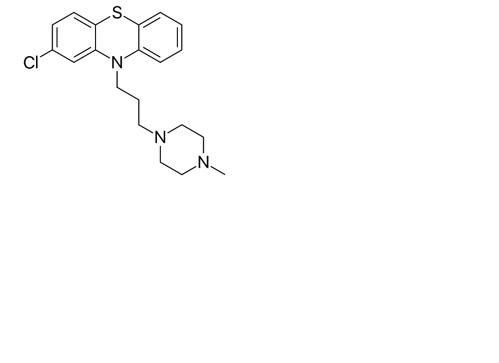
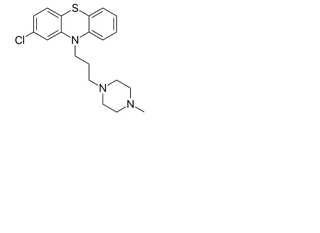
   Химична структура  

Капки за нос
Съвместимост   Капки за нос   Съвместимост : Prochlorperazine edysilate              
Няма данни

  Mentions Légales