Последнее обновление :
27/01/2026
Противорвотный   Prochlorperazine edysilate  
Капли в нос
Инъекция
Стабильность фармацевтических препаратов Стабильность смесей Факторы, которые влияют на стабильность Совместимость Библиография pdf
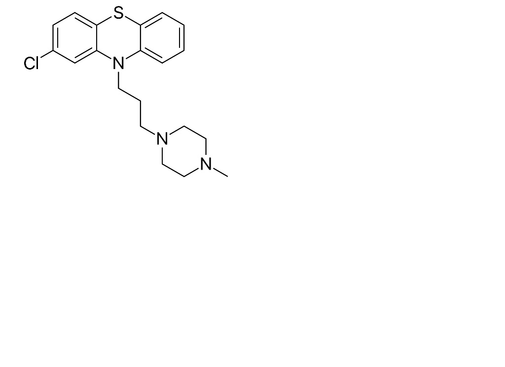
   Химическая структура  

Капли в нос
Совместимость   Капли в нос   Совместимость : Prochlorperazine edysilate              
данных нет

  Mentions Légales