Siste oppdatering :
27/04/2026
Forskjellig   Baclofen  
Salver
Injeksjon Mikstur
Stabilitet av farmasøytiske preparater Stabilitet i blandinger Faktorer som påvirker stabiliteten Kompatibilitet Referanser pdf
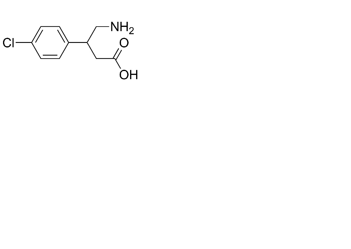
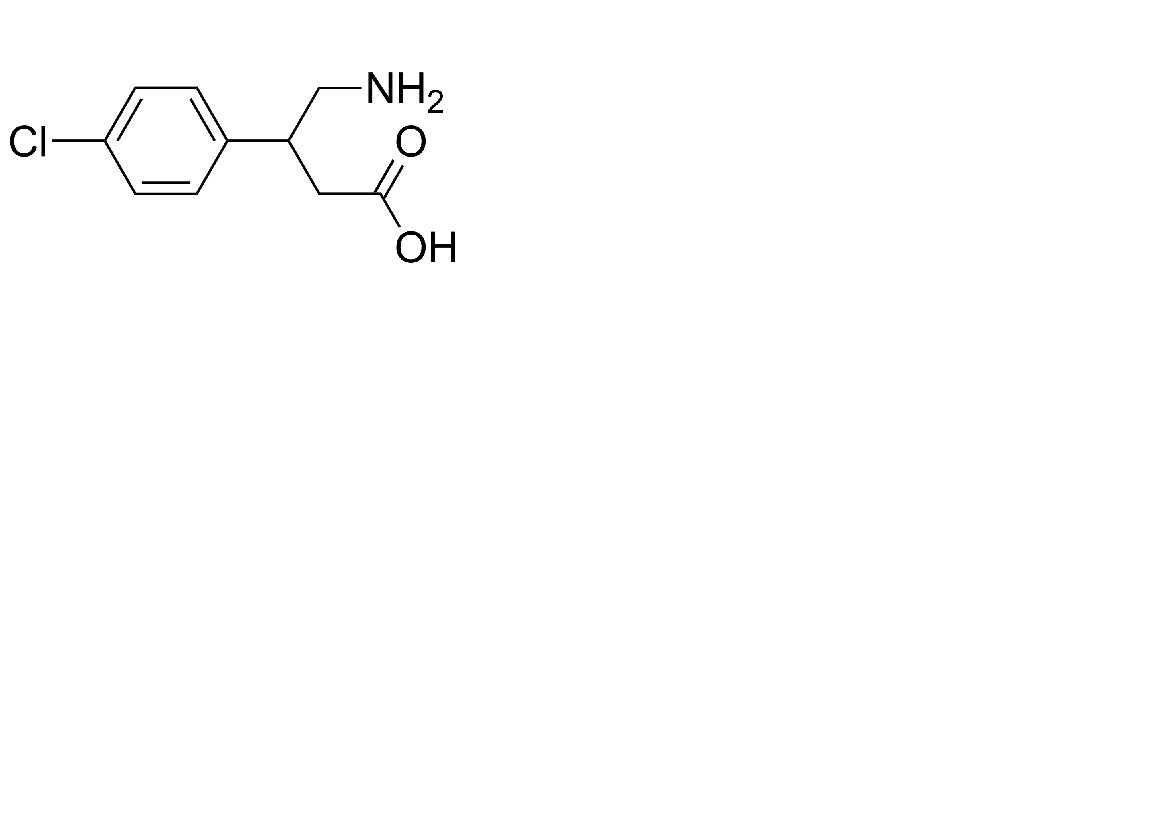
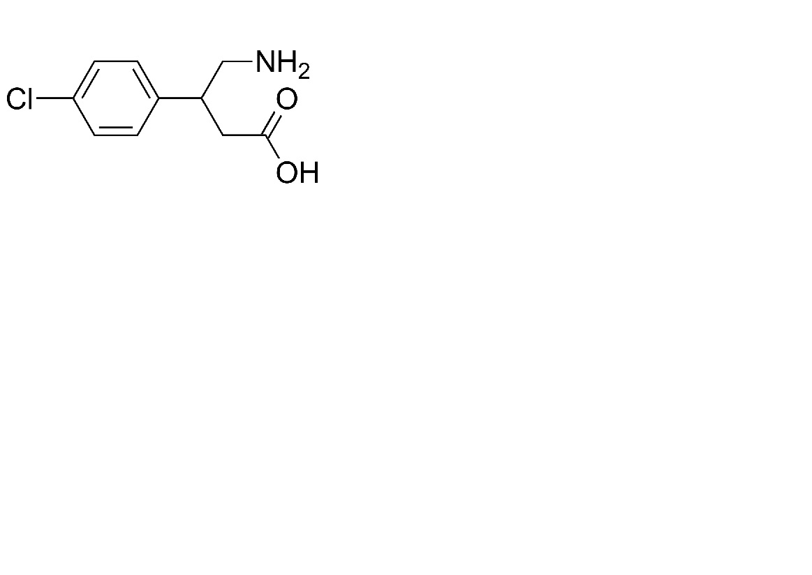
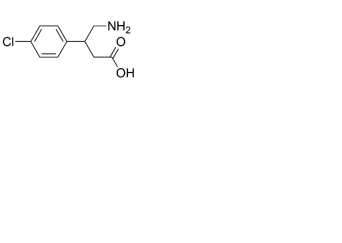
   Kjemisk struktur  

Salver

Faktorer som påvirker stabiliteten   Salver   Faktorer som påvirker stabiliteten : Baclofen        
Ingen opplysninger

  Mentions Légales