Последно актуализиране :
27/04/2026
Други   Baclofen  
Унгвент/Унгвенти
Инжекция/Инжекционен Орален разтвор
Стабилност на лекарствени препарати Стабилност на смеси Фактори, повлияващи стабилността Съвместимост Библиография Pdf
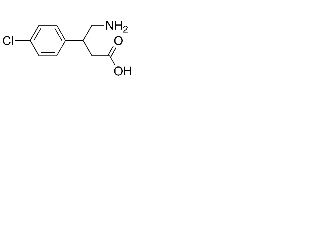
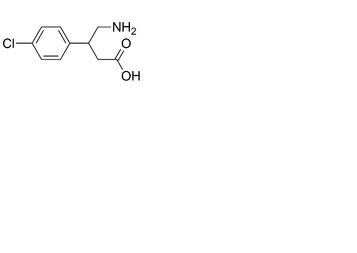
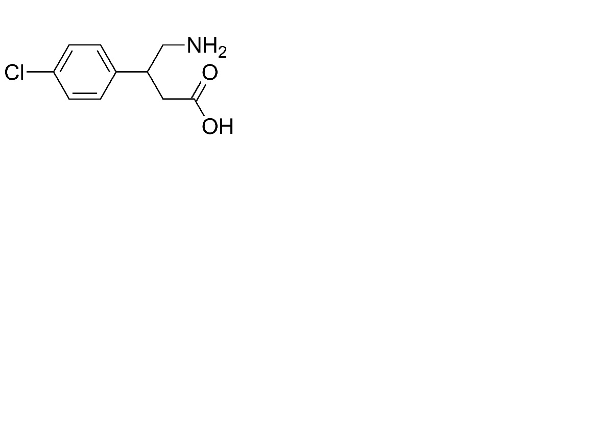
   Химична структура  

Унгвент/Унгвенти

Фактори, повлияващи стабилността   Унгвент/Унгвенти   Фактори, повлияващи стабилността : Baclofen        
Няма данни

  Mentions Légales