Ultimele actualizari :
27/04/2026
Diverse   Baclofen  
Unguente
Injectabil Soluţie orală
Stabilitatea preparatelor farmaceutice Stabilitatea in amestec Factorii care influenteaza stabilitatea Compatibilitate Bibliografie pdf
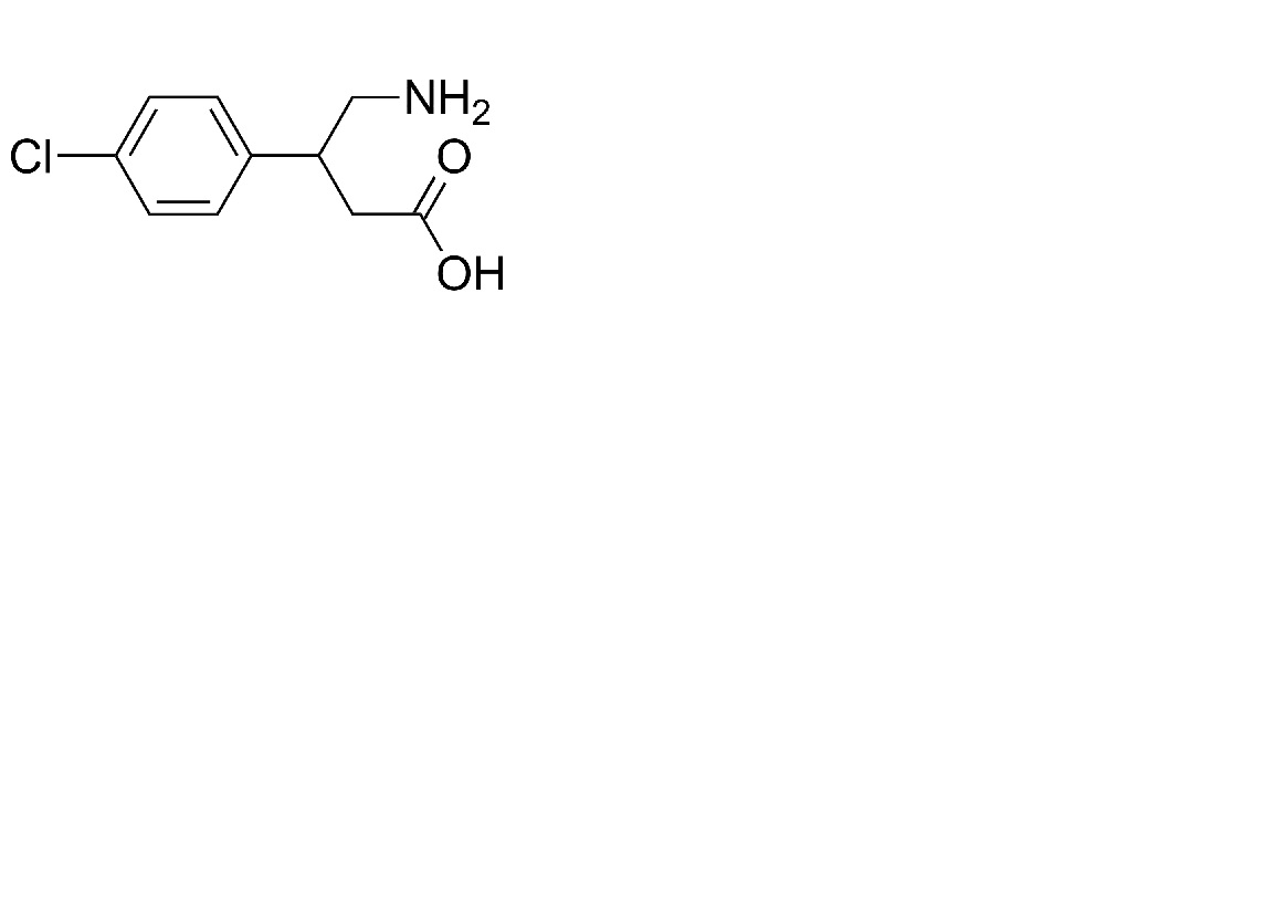
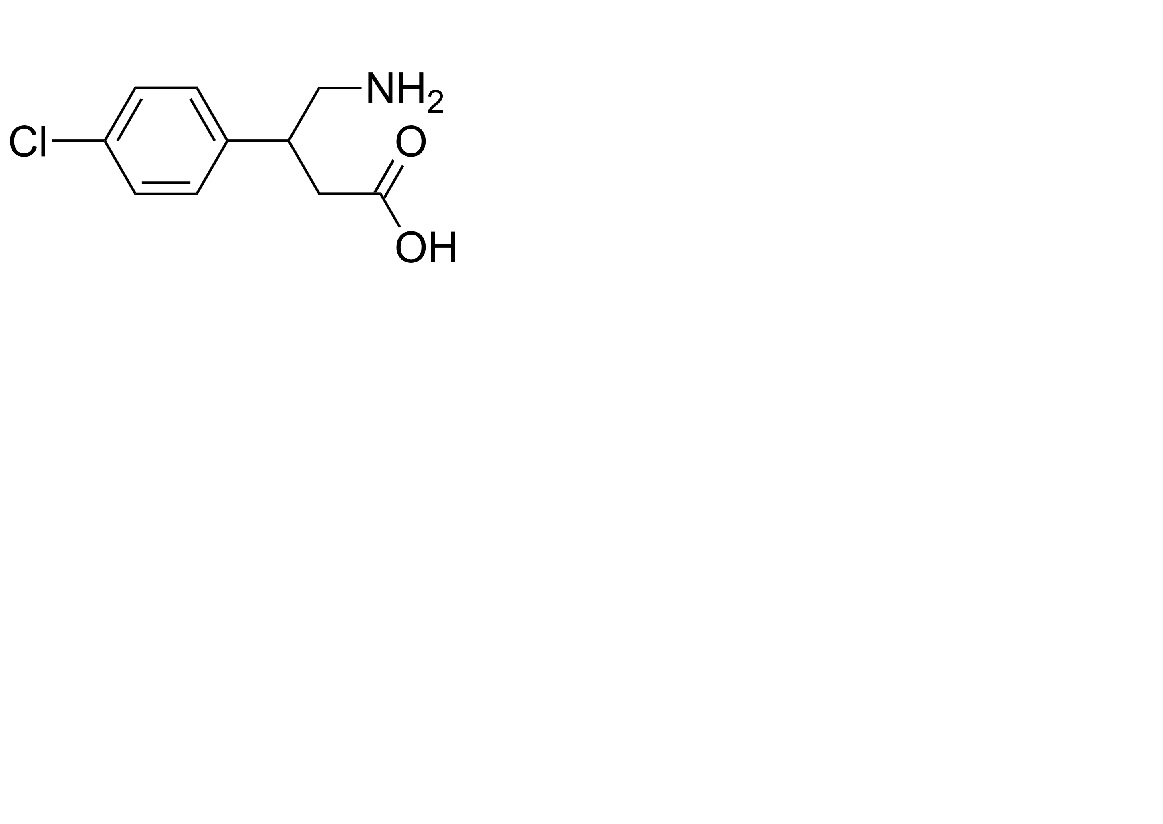
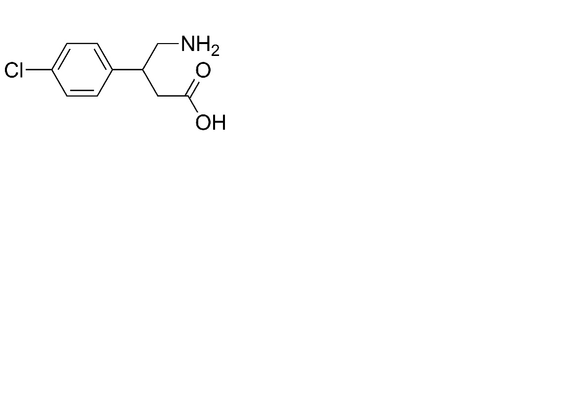
   Formula chimica  

Unguente

Factorii care influenteaza stabilitatea   Unguente   Factorii care influenteaza stabilitatea : Baclofen        
Absenta de date

  Mentions Légales