Poslední aktualizace :
27/04/2026
Různé   Baclofen  
Masti
injekce Perorální roztok
Stabilita farmaceutických přípravků Stabilita směsí Faktory ovlivňující stabilitu Kompatibilita Odkazy pdf
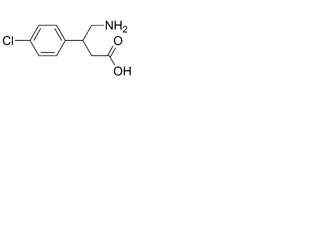
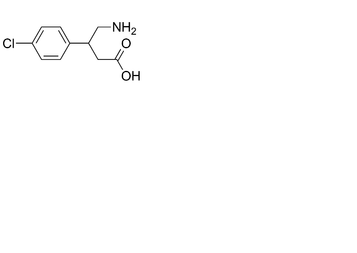
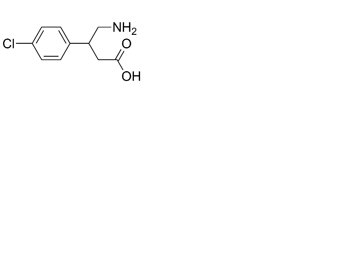
   Chemický vzorec  

Masti

Faktory ovlivňující stabilitu   Masti   Faktory ovlivňující stabilitu : Baclofen        
žádná data

  Mentions Légales