viimane versioon :
27/04/2026
mitmesugune   Baclofen  
salv
Süsteravim suukaudne lahus
Stabiilsust ravimpreparaadid Stabiilsust mõjutavad tegurid stabiilsust mõjutavad faktorid Sobimatus Viited pdf
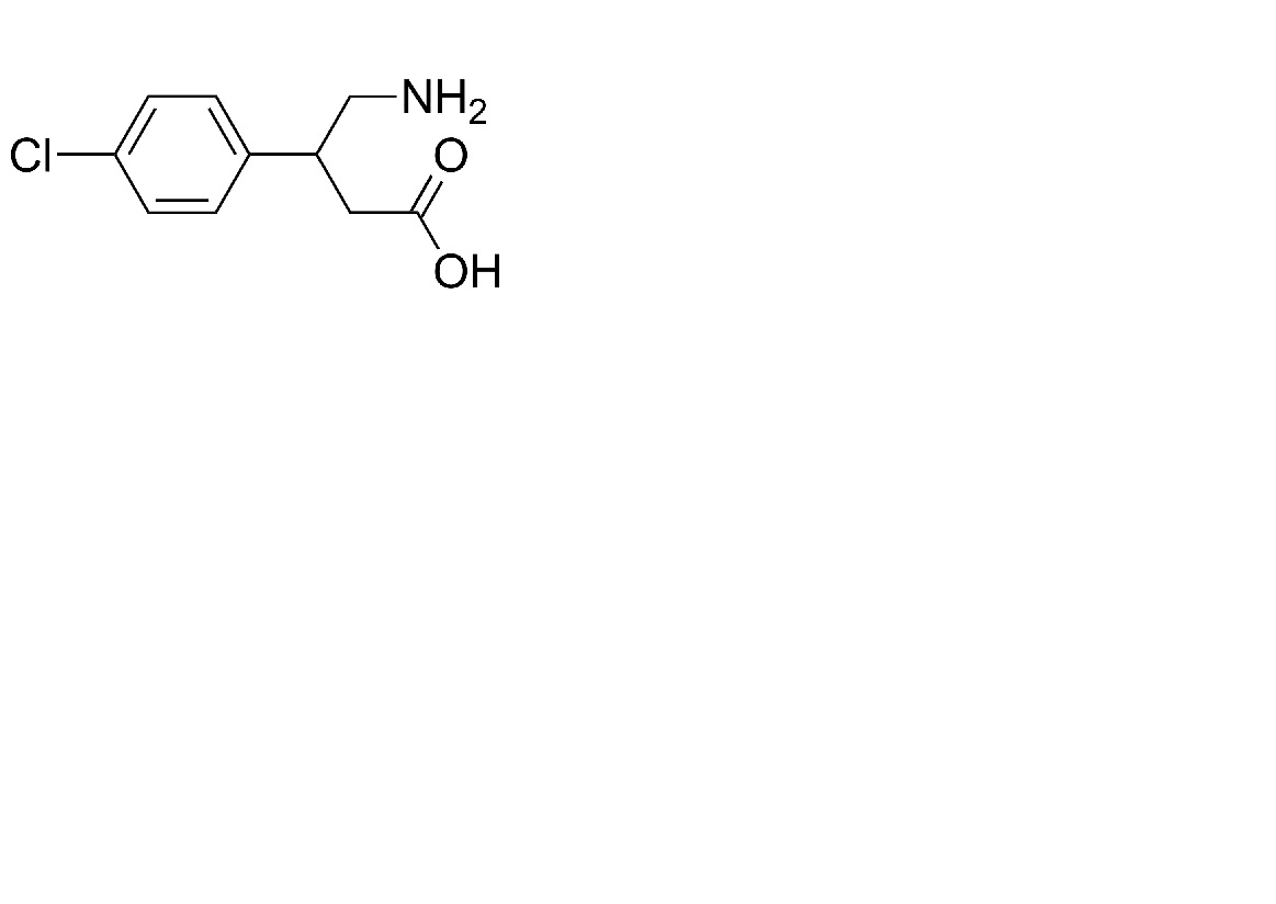
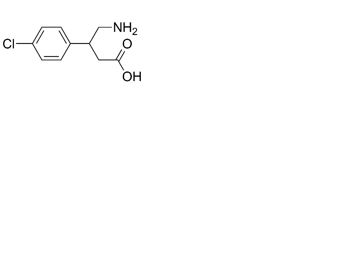
   keemiline struktuur  

salv

stabiilsust mõjutavad faktorid   salv   stabiilsust mõjutavad faktorid : Baclofen        
andmed puuduvad

  Mentions Légales