zadnja posodobitev :
27/04/2026
Različen   Baclofen  
Mazila
Brizgalka Peroralna raztopina
Stabilnost farmacevtskih preparatov Stabilnost mešanice Faktorji, ki vplivajo na stabilnost Kompatibilnost Viri pdf
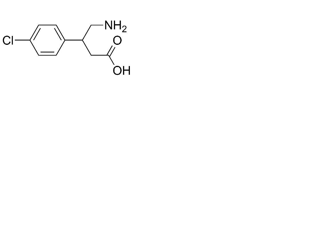
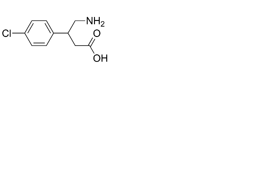
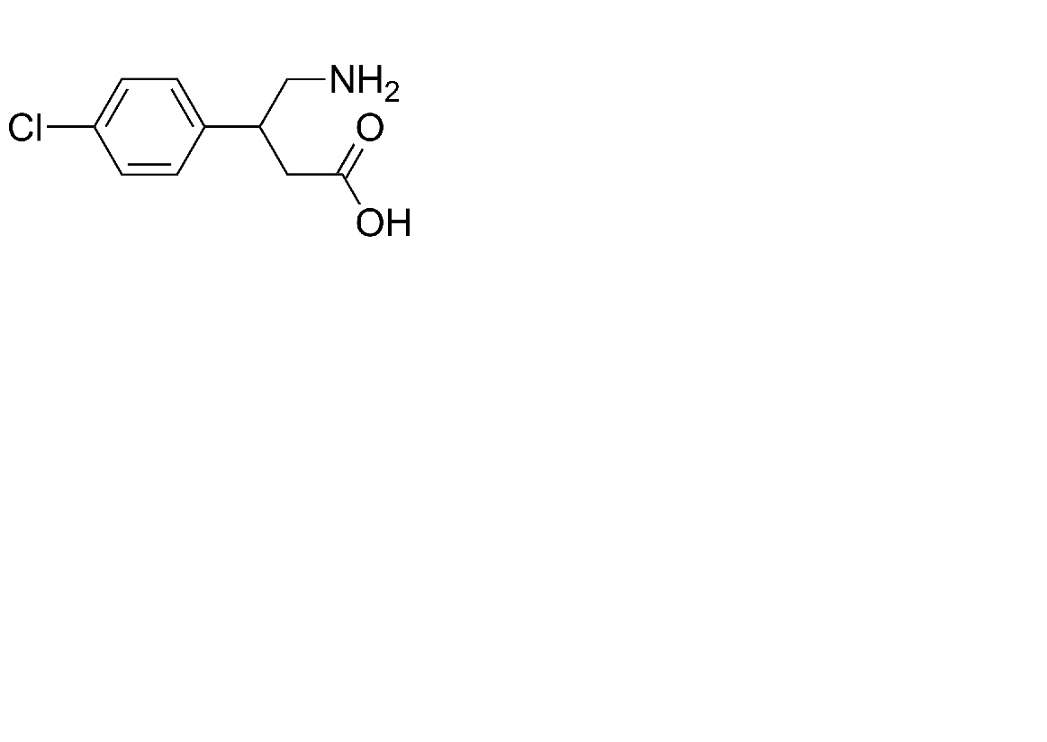
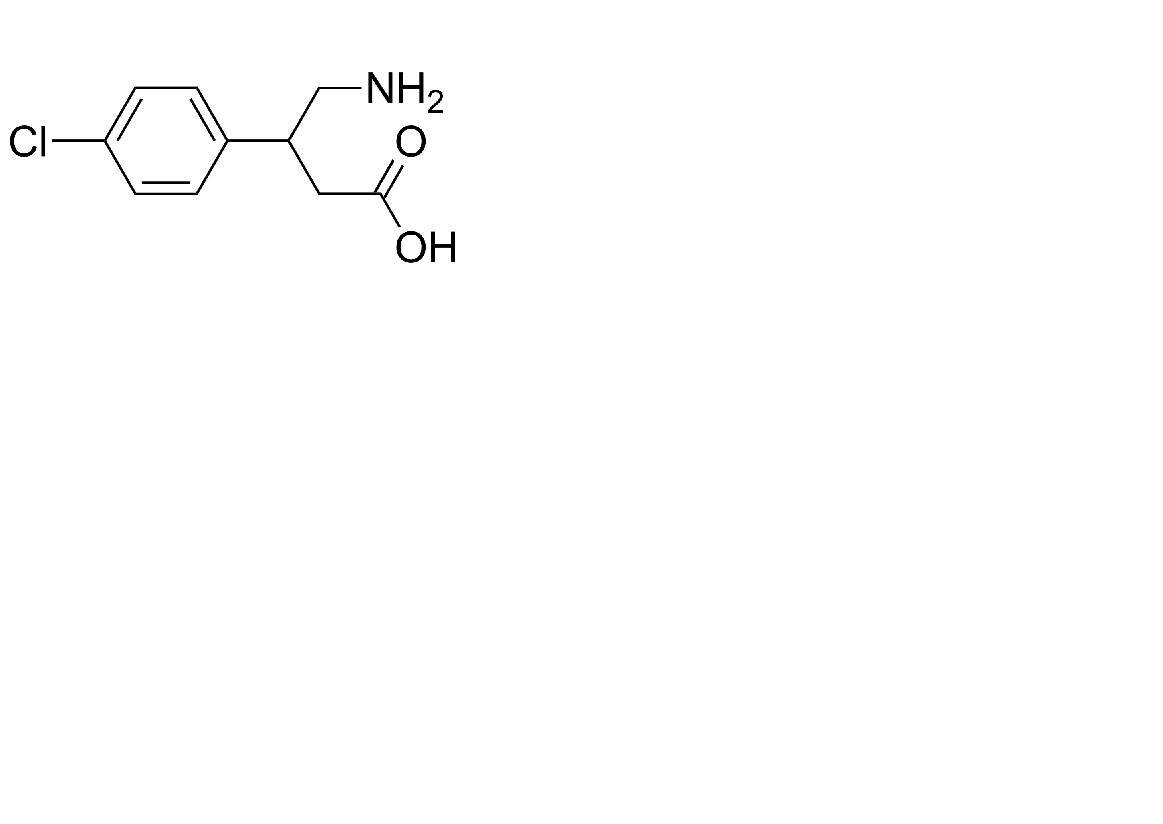
   Kemična formula  

Mazila

Faktorji, ki vplivajo na stabilnost   Mazila   Faktorji, ki vplivajo na stabilnost : Baclofen        
ni podatka

  Mentions Légales