Viimeisin päivitys :
27/04/2026
Muut   Baclofen  
Salvat
Injektioneste Oraaliliuos
Vakaus lääkevalmisteen Stabilius seoksissa Tekijät, jotka vaikuttavat stabiliuteen Yhteensopivuus Viitteet pdf
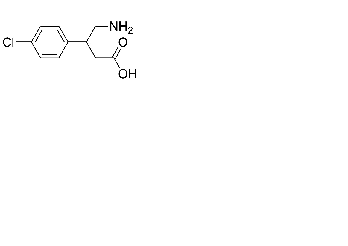
   Kemiallinen rakenne  

Salvat

Tekijät, jotka vaikuttavat stabiliuteen   Salvat   Tekijät, jotka vaikuttavat stabiliuteen : Baclofen        
ei tietoa

  Mentions Légales