Zadnji put ažurirano :
27/04/2026
razno   Baclofen  
masti
injekcija oralna otopina
Stabilnost farmaceutskih pripravaka Stabilnost mješavine Stabilizacijski faktor Kompatibilnosti Bibliografija pdf
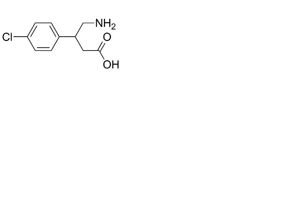
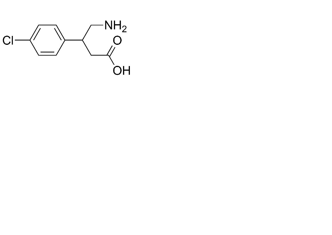
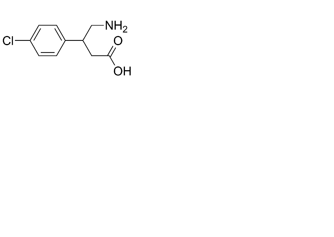
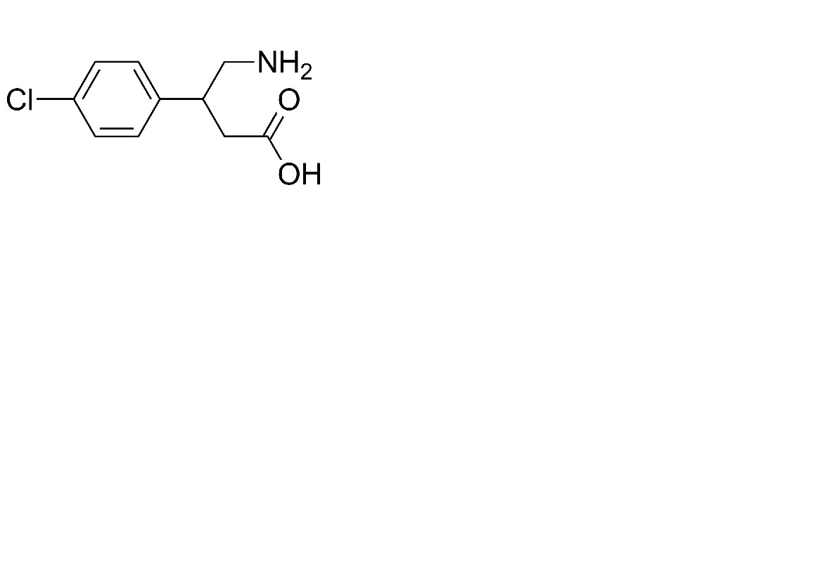
   Kemijska struktura  

masti

Stabilizacijski faktor   masti   Stabilizacijski faktor : Baclofen        
bez podataka

  Mentions Légales