Senaste uppdateringen :
27/04/2026
Diverse   Baclofen  
Salvor
injektion Oral lösning
Stabilitet av läkemedel Stabilitet i blandningar Faktorer som påverkar stabiliteten Kompatibilitet Hänvisningar pdf
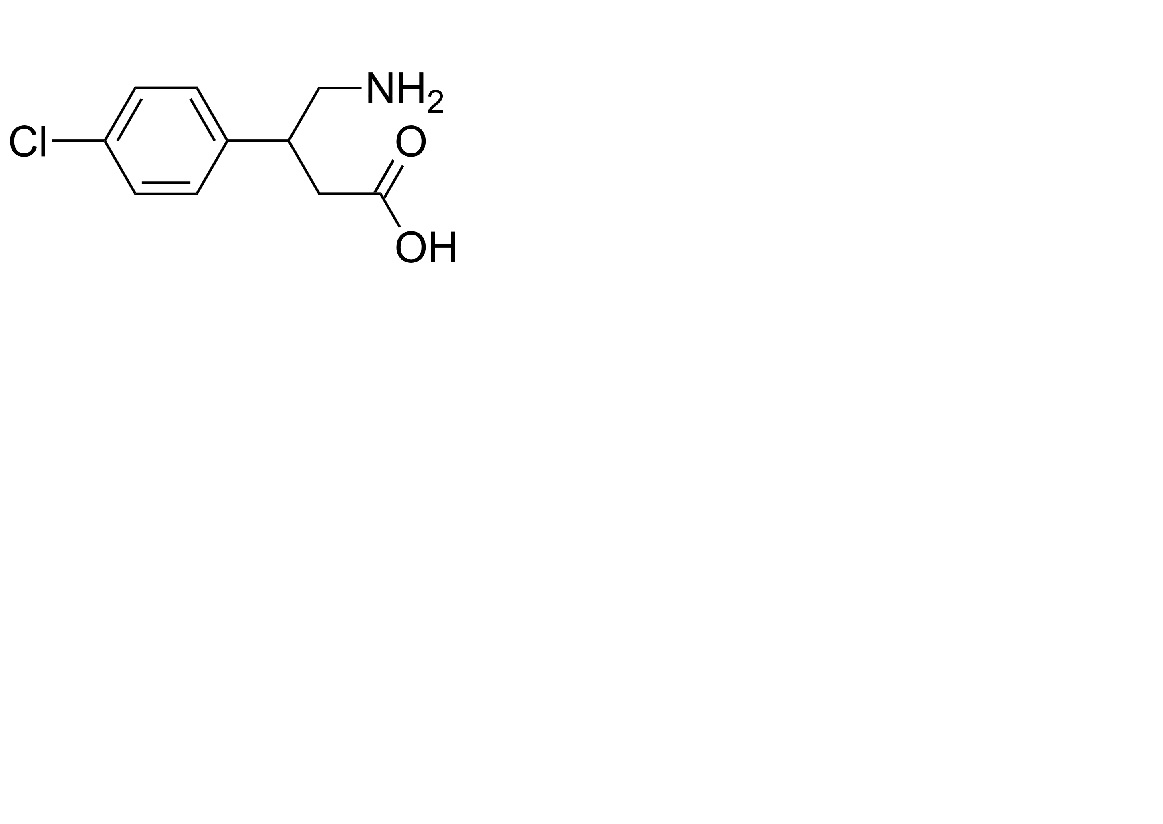
   Molekylstruktur  

Salvor

Faktorer som påverkar stabiliteten   Salvor   Faktorer som påverkar stabiliteten : Baclofen        
Ingen uppgift

  Mentions Légales