Ostatnia aktualizacja :
27/04/2026
Różne   Baclofen  
Maści
Injekcje Roztwór doustny
Stabilność preparatów farmaceutycznych Trwałość w mieszaninie Czynnik wpływający na trwałość Zgodność Bibliografia pdf
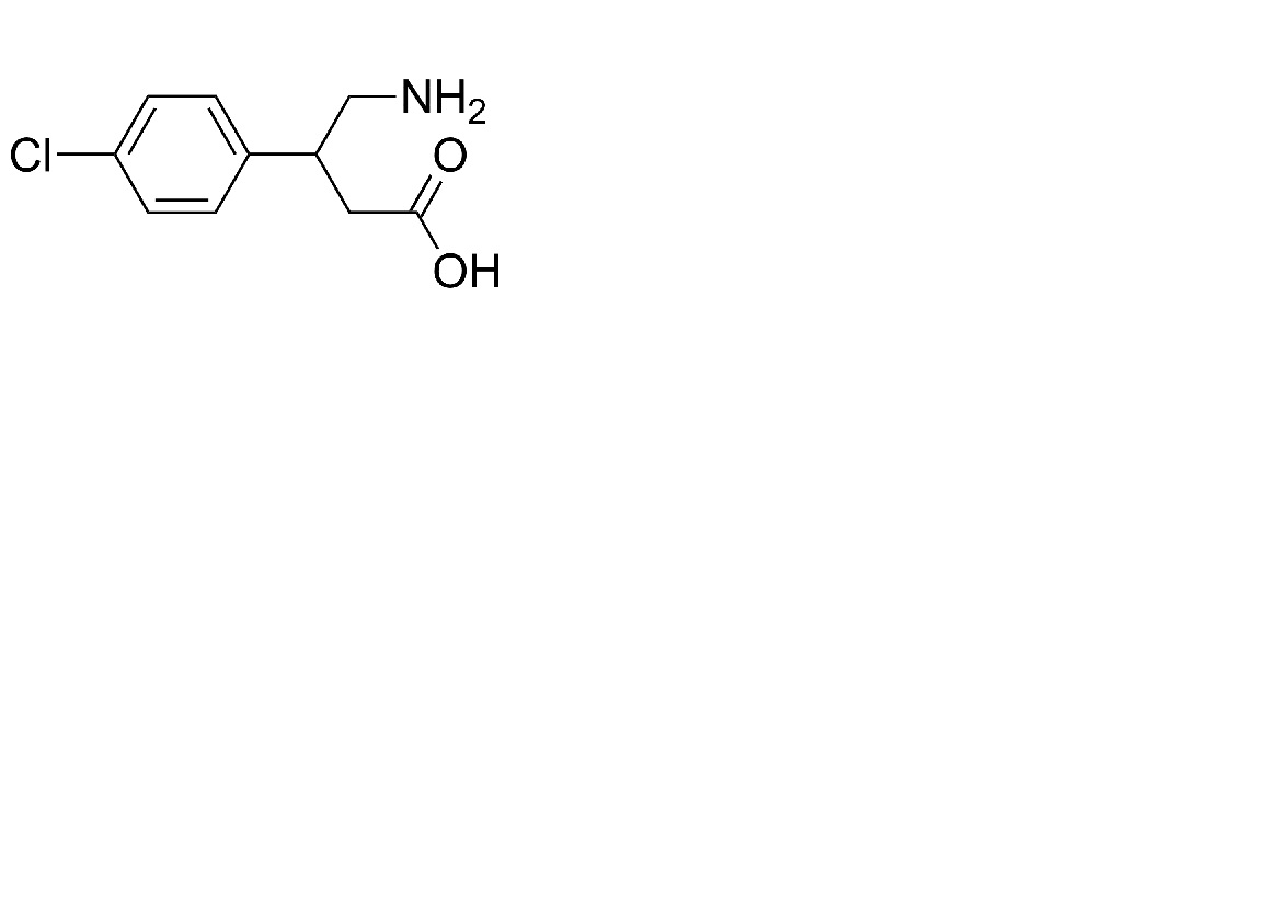
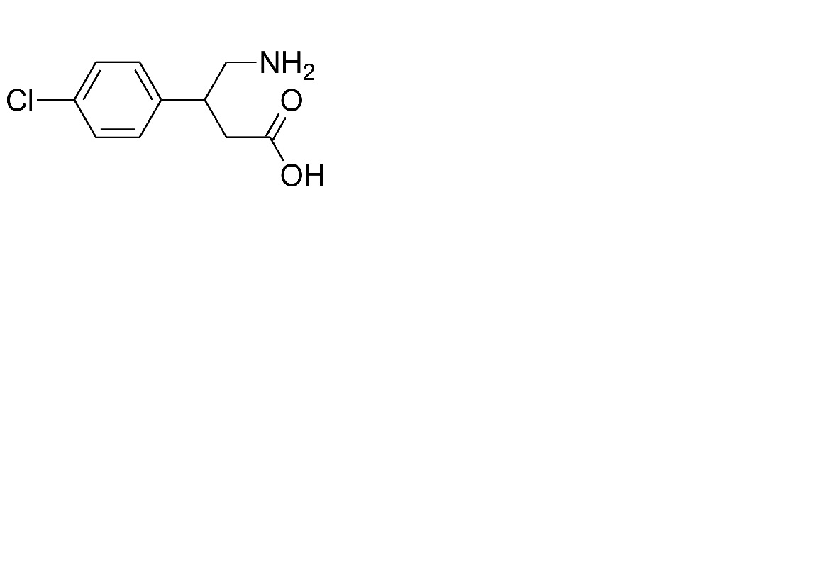
   Struktura chemiczna  

Maści

Czynnik wpływający na trwałość   Maści   Czynnik wpływający na trwałość : Baclofen        
Brak danych

  Mentions Légales