Son güncelleme :
27/04/2026
Çeşitli   Baclofen  
Merhem
Enjeksiyon Oral solüsyon / oral çözelti
Farmasötik preparatlar Kararlılığı Karışımlardaki stabilitesi Stabiliteyi etkileyen faktörler Uyumluluk Kaynaklar pdf
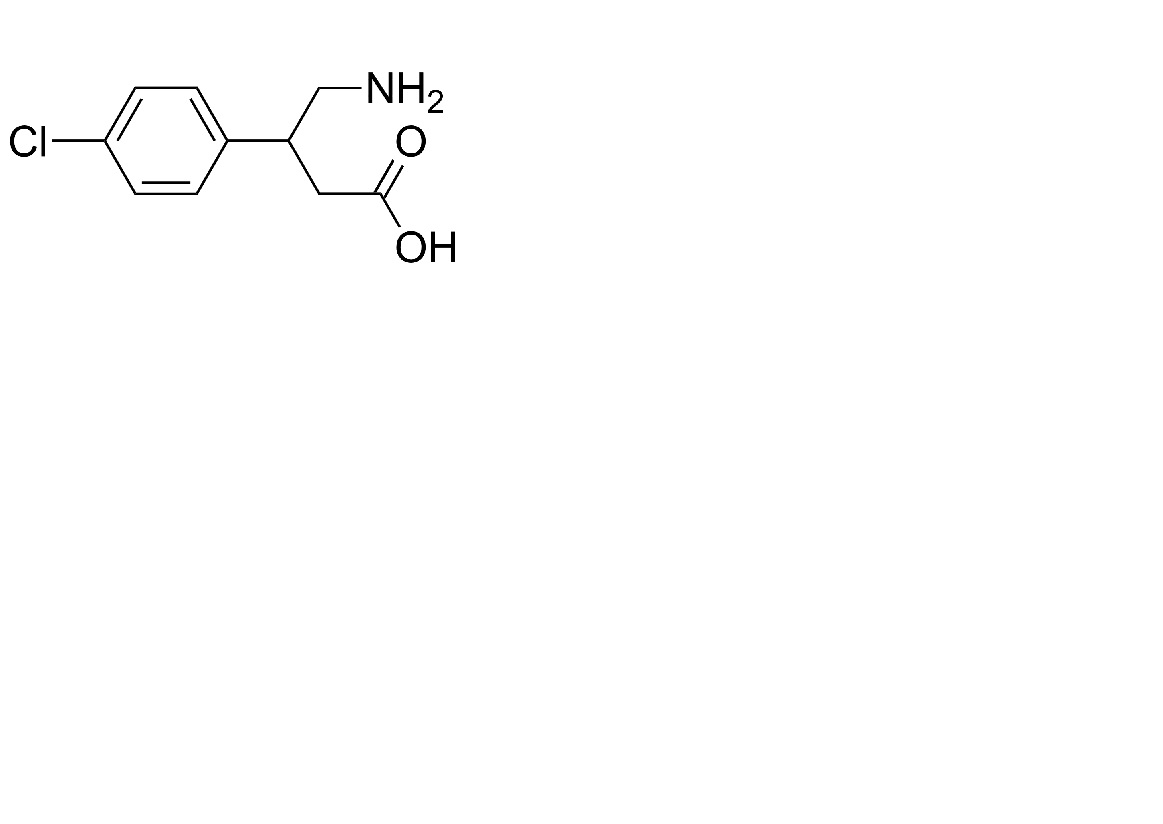
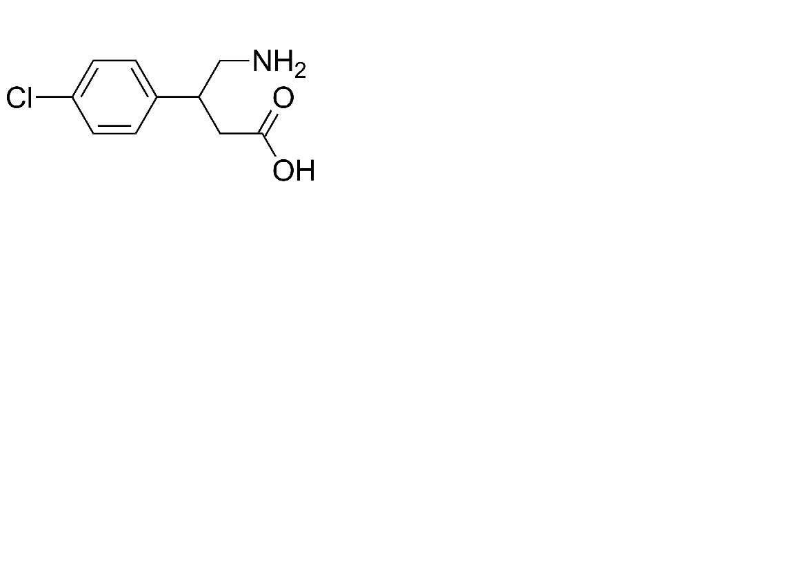
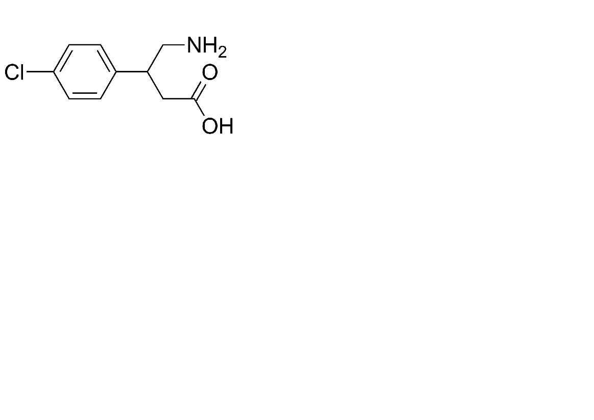
   Kimyasal yapı   

Merhem

Stabiliteyi etkileyen faktörler    Merhem   Stabiliteyi etkileyen faktörler : Baclofen        
veri yok

  Mentions Légales