Son güncelleme :
27/04/2026
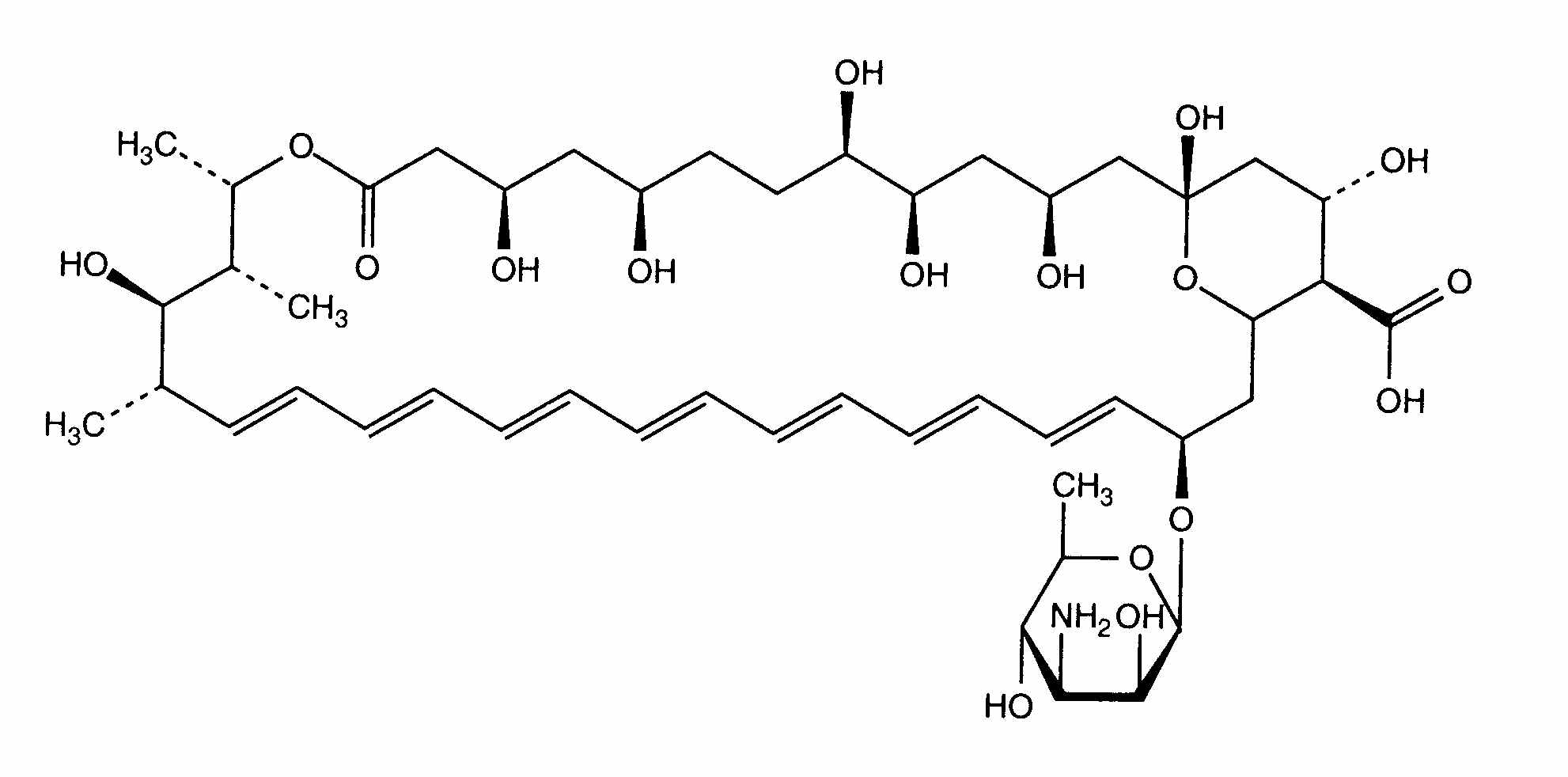
Antifungal   Amphotericin B liposomale  
Göz damlası
Enjeksiyon
Farmasötik preparatlar Kararlılığı Karışımlardaki stabilitesi Stabiliteyi etkileyen faktörler Uyumluluk Kaynaklar pdf
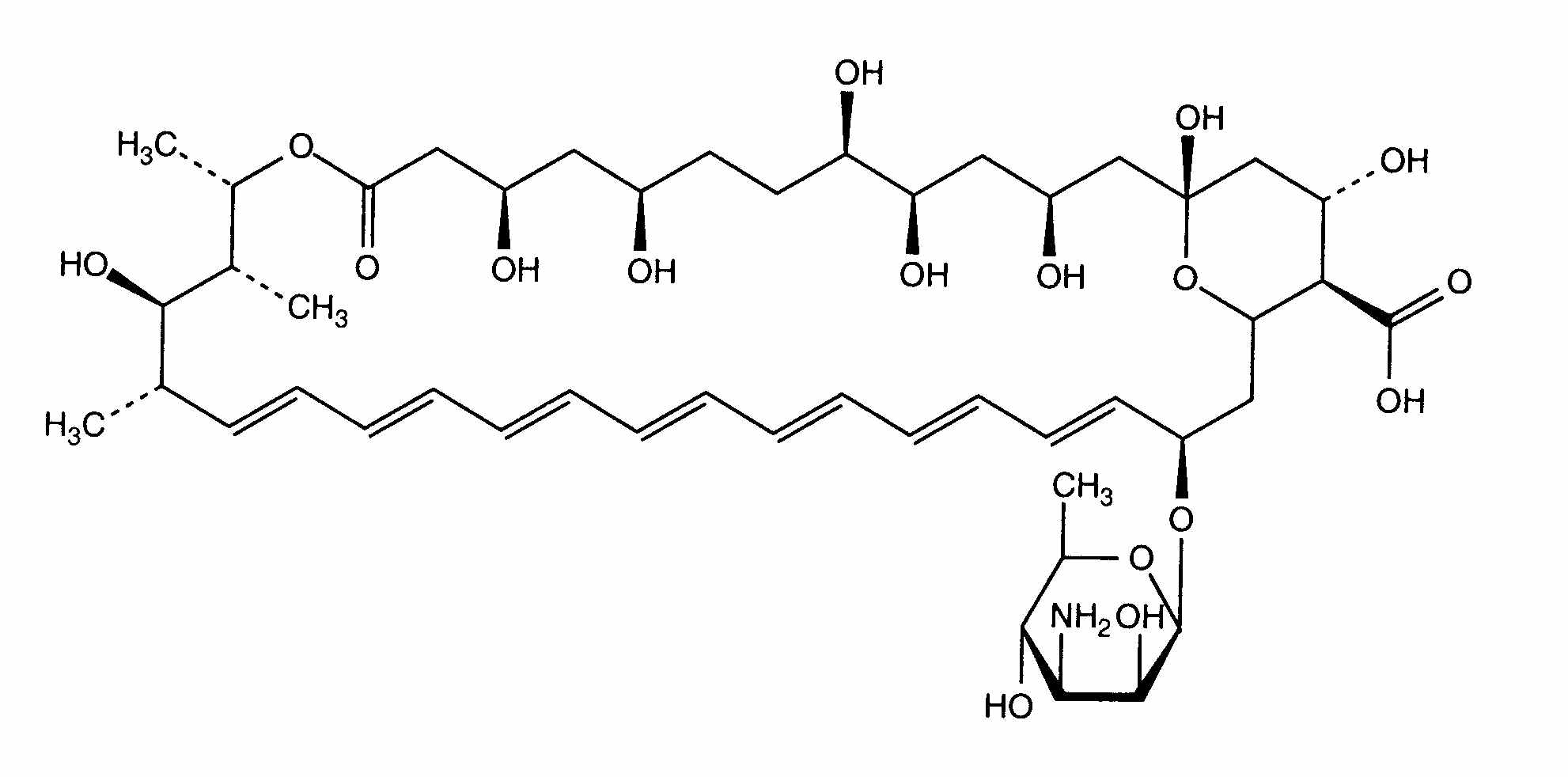
Lipozom   Kimyasal yapı   

Göz damlası
Karışımlardaki stabilitesi   Göz damlası   Karışımlardaki stabilitesi : Amphotericin B liposomale     
veri yok

  Mentions Légales