zadnja posodobitev :
27/04/2026
Antimikotik   Amphotericin B liposomale  
Kapljice za oči
Brizgalka
Stabilnost farmacevtskih preparatov Stabilnost mešanice Faktorji, ki vplivajo na stabilnost Kompatibilnost Viri pdf
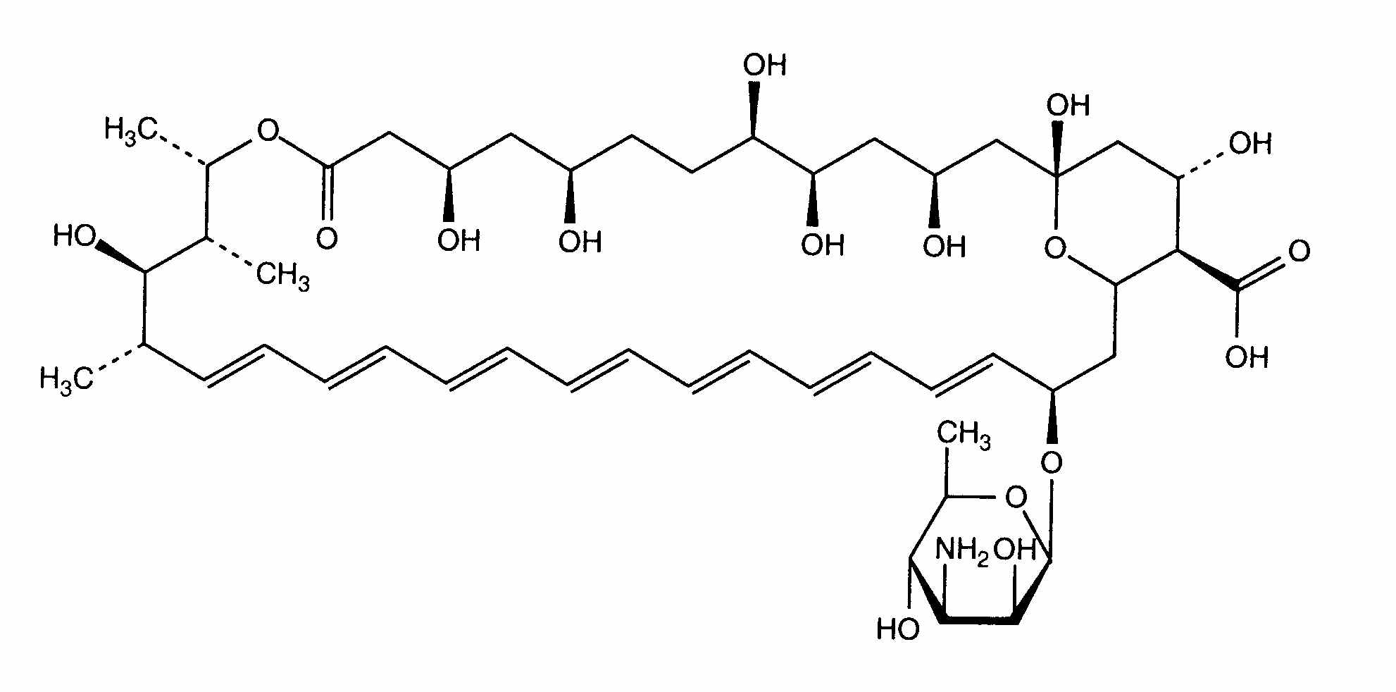
Liposom   Kemična formula  

Kapljice za oči
Stabilnost mešanice   Kapljice za oči   Stabilnost mešanice : Amphotericin B liposomale     
ni podatka

  Mentions Légales