最新更新 :
27/04/2026
抗真菌薬   Amphotericin B liposomale  
点眼薬
注射薬
調剤時の安定性 混合時の安定性 安定性に影響する因子 互換性 引用文献 PDF
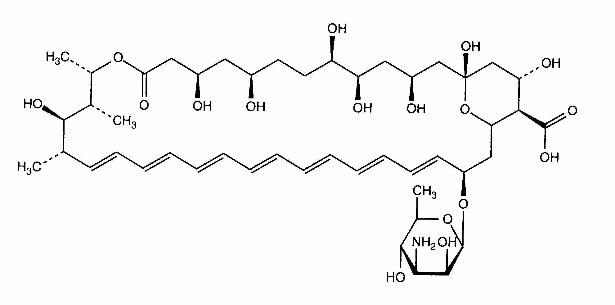
リポソーム   化学構造  

点眼薬
混合時の安定性   点眼薬   混合時の安定性 : Amphotericin B liposomale     
データなし

  Mentions Légales