Seneste opdatering :
27/04/2026
Antisvampe   Amphotericin B liposomale  
Øjendråber
Injektion
Stabilitet af farmaceutiske tilberedninger Stabilitet i blandinger Faktorer der påvirker stabiliteten Kompatibilitet Bibliografi pdf
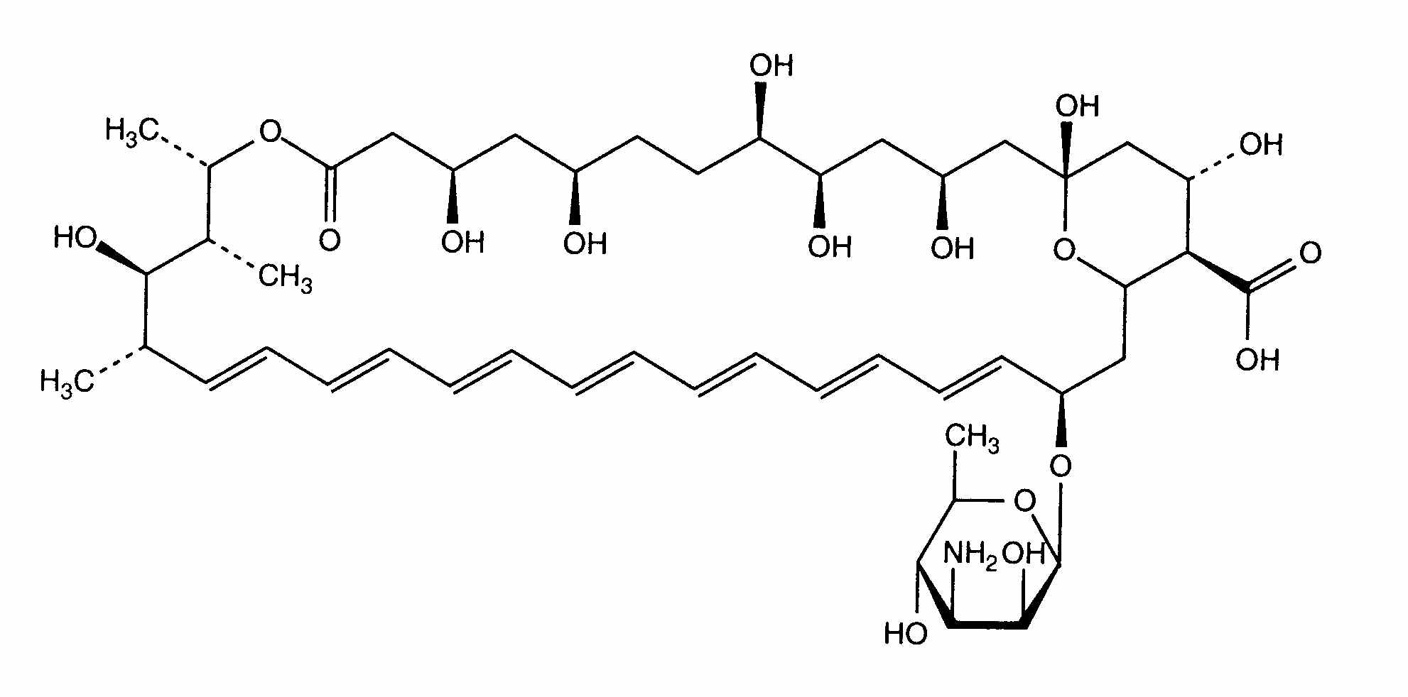
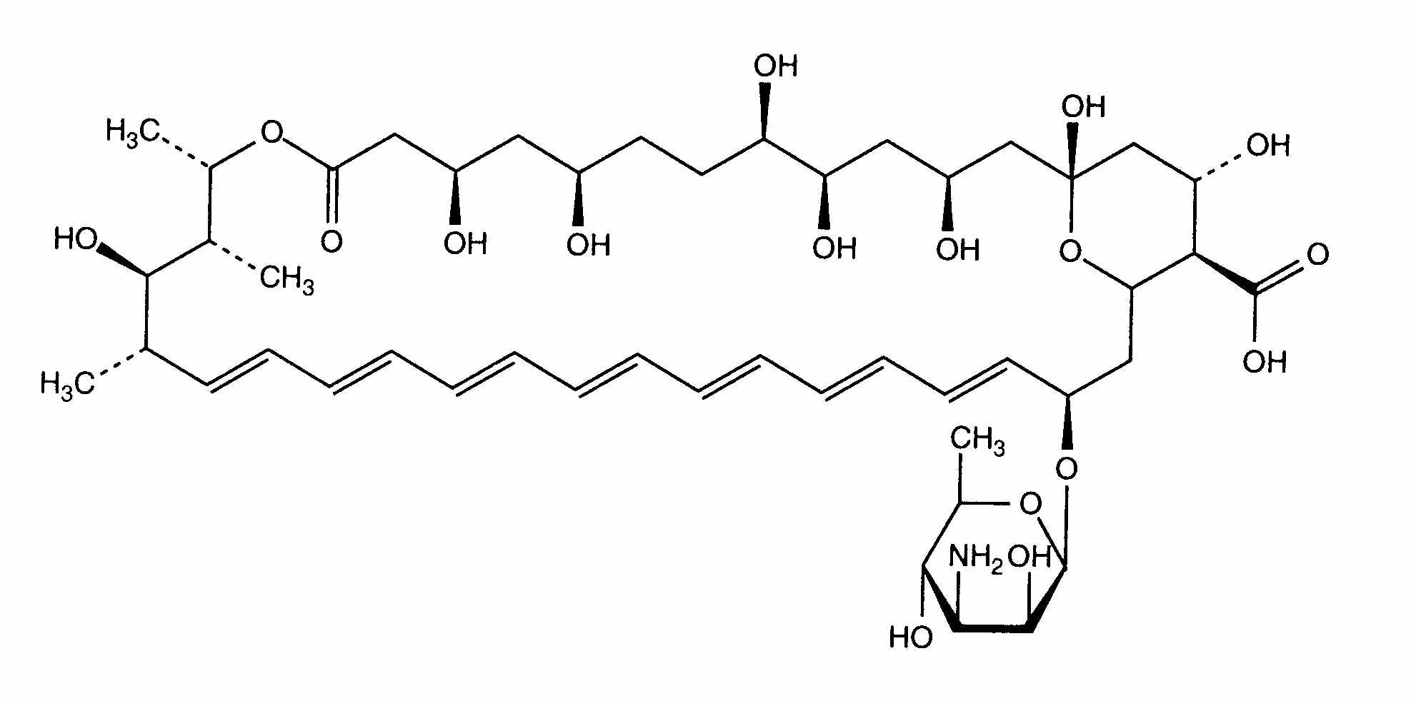
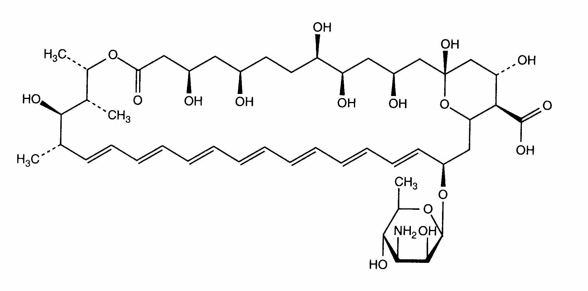
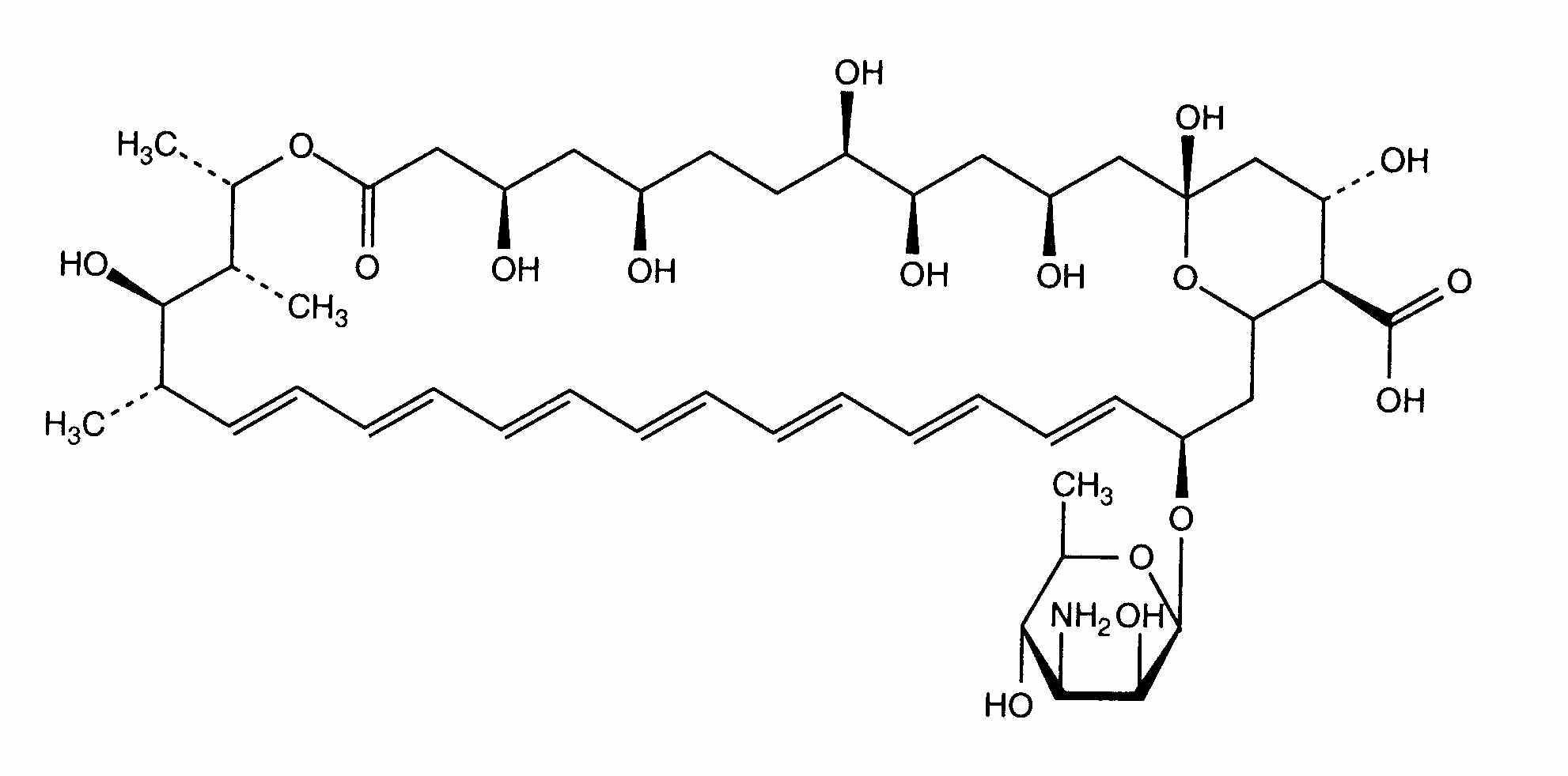
Liposom   Kemisk struktur  

Øjendråber
Stabilitet i blandinger   Øjendråber   Stabilitet i blandinger : Amphotericin B liposomale     
Ingen data

  Mentions Légales